SongYoo Bin1,2
RyuMin Woo1,2
JangE-San3
KimKyung Rok1,2
-
(Department of Electrical Engineering, Ulsan National Institute of Science and Technology,
Ulsan, Korea)
-
(Ternell Corporation, Ulsan, Korea)
-
(IMEC, Leuven, Belgium)
Copyright © The Institute of Electronics and Information Engineers(IEIE)
Index Terms
CMOS, asymmetric FET, plasmonic terahertz (THz) detector, responsivity, monolithic trantenna
I. INTRODUCTION
Terahertz (THz) technology utilizes the frequency range from 0.1 THz to 10 THz in
the electromagnetic spectrum, corresponding to wavelengths between 30 $\mu$m and 3
mm, and energies ranging from 0.42 meV to 42 meV. This frequency range exhibits unique
physical characteristics, such as the coexistence of both the propagation ability
of radio frequency (RF) waves and the directivity of optical waves, which enable diverse
applications in communication, imaging, and spectroscopy. Among these, electronic
device-based imaging technologies have been extensively demonstrated to show significant
commercial potential in the near-future [1,2]. CMOS-based THz imaging sensors are capable of detecting THz frequencies through
the plasma-mode operation mechanism, where free electrons collectively oscillate,
in contrast to the transit-mode mechanism, which has limitations due to its cut-off
frequency [3-5].
In plasma-mode, although high responsivity can be achieved with resonant mode operation
[6], the non-resonant mode is suitable for various imaging sensor applications because
of its advantages, such as the ability to operate at room temperature, stability with
respect to high-power sources, and a wide bandwidth [7]. In particular, non-resonant silicon (Si) field-effect transistor (FET) based plasmonic
THz sensors enable the development of real-time and large-area THz imaging systems
through multi-pixel integration [8].
Since the mid-2000s, Si-based plasmonic THz detectors have been reported to achieve
performance comparable to compound-based THz detectors, such as high-electron-mobility
transistors (HEMT) [9]. However, although the size of conventional semiconductors has been scaled to the
sub-micrometer range, integrating sub-millimeter antennas to absorb relatively long
THz wavelengths (0.3 ${\sim}$ 3 mm) induces power loss due to impedance mismatching
[10]. To overcome these design limitations, the concept of a monolithic transistor-antenna
(Trantenna), where the device itself operates as an antenna, has been proposed as
an impedance matching solution [11,12]. Additionally, it has been demonstrated that detection performance can be further
enhanced through structural asymmetry, which overcomes the saturation limits caused
by asymmetric boundary conditions at the source and drain in non-resonant mode [13,14].
In this paper, we demonstrate a significant performance enhancement of the Trantenna
with structural asymmetry through shallow trench isolation (STI) fabrication technology
in 28-nm CMOS foundry technology. In Section II, we investigate the operational principle
of the Si FET-based plasmonic THz detector and show the limitations in performance
enhancement due to boundary conditions. In Section III, we experimentally demonstrate
the performance enhancement through the channel confinement effect achieved by using
shallow trench isolation (STI) technology to localize the channel.
II. OPERATION PRINCIPLE OF THZ DETECTOR AND PERFORMANCE ENHANCEMENT
The Si FET-based THz detector operates in a non-resonant mode due to its comparatively
low mobility characteristics and can detect THz wave signal by detecting the difference
in dc voltage between the source and drain in the weak inversion region.
Fig. 1(a) shows the plasmonic THz detector based on Si FET that operate in a non-resonant mode.
Under the channel turns on a weak inversion state due to dc gate voltage ($V_{\rm
G}$) less than threshold voltage (${V}_{\rm TH}$), 2-DEG oscillation occurs together
with propagation distance (${l}_{\rm 2DEG}$) while the THz wave incident on to detector.
At this time, asymmetric charge distribution occurs in the channel due to the asymmetric
boundary condition between the gate-source and gate-drain, and dc output voltage ($\Delta{u}$)
can be obtained between the source and drain.
Fig. 1. (a) MOSFET based THz wave detector with 2-DEG propagation distance ($l_{\rm
2DEG}$). (b) The device simulation results as structural symmetry and asymmetry boundary
conditions (B.C).
Fig. 1(b) shows the simulation results by the symmetry and asymmetry boundary conditions between
the source-gate and the source-drain. Under symmetric boundary conditions with $C_{\rm
gs}= C_{\rm gd}$, the same 2-DEG oscillation occurs on the source and drain sides,
resulting in ${l}_{\rm 2DEG}$ of the same length. Therefore, $\Delta{u}$ is not detected
because there is no voltage difference between both ends under symmetric boundary
conditions. On the other hand, in the case of asymmetric boundary conditions with
$C_{\rm gs} > C_{\rm gd}$, the gate to source becomes an ac pass condition, resulting
in 2-DEG modulation only on the drain side, which is an ac open condition, and output
dc voltage ($\Delta{u}$) according to the difference in electron density is detected.
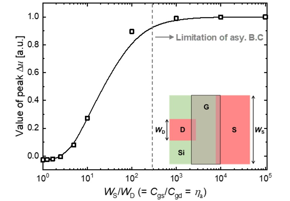
Fig. 2. TCAD simulation results of normalized $\Delta u$ as a asymmetry ratio ($\eta_{\rm
a}$).
Fig. 2 presents the TCAD simulation results of normalized peak $\Delta{u}$ as a function
of gate-to-source (${C}_{\rm gs}$) and gate-to-drain (${C}_{\rm gd}$) capacitances
with respect to source and drain widths (${W}_{\rm S}$, ${W}_{\rm D}$). The results
indicate that, in MOSFET design, device performance can be improved by adopting an
asymmetric layout that effectively controls the overlap regions between the gate and
the source/drain areas. However, when the asymmetry factor ($\eta_{\rm a}$) exceeds
100, the enhancement becomes saturated due to the inherent limitation of asymmetric
boundary conditions. This suggests that additional design strategies are required
to overcome the performance limitation imposed by such boundary conditions.
1. Novel Design for High Performance by Channel Confinement Effect with STI
Fig. 3 shows the top view schematic and microscope image of the monolithic trantenna plasmonic
THz detector fabricated by using 28-nm CMOS foundry technology. As shown in Fig. 3, the asymmetric channel of the trantenna has newly designed by surrounded a shallow
trench isolation (STI). The simulated trantenna has a ${L}_{\rm G}= 200$ nm, fixed
${W}_{\rm S}= 3$ $\mu$m, variable ${W}_{\rm D}$, and the STI depth of 0.3 $\mu$m set
with reference to a published work employing the standard 28-nm CMOS process [15].
Fig. 3. Top view schematic of monolithic trantenna [11,12] with confined channel structure and microscope image of trantenna fabricated by 28-nm
CMOS foundry.
Figs. 4(a) and 4(b) show the TCAD simulation results of plasmonic THz detector has non-confined or confined
channel structure, respectively. As shown in the Fig. 4, the same ${l}_{\rm 2DEG}$ occurs by incident THz wave into the detector. However,
the 2-DEG density of the confined channel structured THz detector shown to be enhanced
compared to the non-confined channel structured detector. These results from the enhanced
electron density due to a highly localized channel structure by confinement effect
with STI. The THz wave is rectified to dc offset voltage $\Delta{u}$. According to
Ohm's law, $\Delta{u}$ can be expressed as
where ${j}_{\rm 2-DEG,net}$ is the net current density by charge oscillation and ${R}_{\rm
ch}$ is the trantenna channel resistance.
Fig. 4. Channel electron density contour plots under incident THz wave onto MOSFET
with (a) non-confined channel structure, (b) confined channel structure with STI.
The generated net current (${j}_{\rm 2-DEG,net}$) by charge asymmetry can be expressed
as [13]
where ${q}$ is the electronic charge, ${D}_{\rm n}$ is the electron diffusivity (cm${}^{2}$/s)
and ${l}_{\rm 2DEG}$ is the 2-DEG propagation length (cm). ${N}_{\rm 2-DEG,D}$ and
${N}_{\rm 2-DEG,S}$ are the 2-DEG concentration (cm${}^{-3}$) at drain and source
respectively.
Fig. 5. Electron density oscillations as a channel position and time from TCAD simulation
in the devices of Figs. 4(a) and 4(b). and normalized $N_{\rm 2-DEG}$ at minimum ($x= 0.025$ $\mu$m) and maximum ($x= 0.175$
$\mu$m) positions under the equal $R_{\rm ch}$ condition (inset).
Fig. 5(a) shows the channel electron density oscillations between the source and drain at 0.1
THz as the function of positions and time. The charge asymmetry has been obtained
through the transient simulation and the normalized minimum (at ${x}= 0.025$ $\mu$m)
and maximum (at ${x}= 0.175$ $\mu$m) ${N}_{\rm 2-DEG}$ has been extracted under the
equalized channel resistance (${R}_{\rm ch}$) in each device (inset). As shown in
Fig. 5, the ${N}_{\rm 2-DEG}$ is more oscillated at the confined channel structure with
STI than non-confined channel structure by highly localized channel due to the enhanced
boundary condition by confinement effect.
III. RESULTS AND DISCUSSION
Fig. 6(a) shows the setup for GSG on-chip probe measurement. After applying ${V}_{\rm G}= {V}_{\rm
TH}= 0.3$ V using a source meter (Keithley 2612B) to form a weak inversion layer,
0.1 THz ac-voltage was applied to the gate with a vector network analyzer (Keysight
N5247A VNA) to measure the DC output voltage $\Delta{u}$ using a lock-in amplifier
(SRS SR830).
Fig. 6. (a) GSG on-chip measurement setup with vector network analyzer (VNA) with
extender ($0.09\sim0.5$ THz) and probe station, (b) measured $\Delta u$ results by
function of gate voltage ($V_{\rm G}$) with enhanced asymmetry ratio and current enhancement
by channel confinement (inset).
Fig. 6(b) shows the measurement results of enhanced peak voltage of the photoresponse $\Delta{u}$
(mV) according to the function of ${W}_{\rm D}$. The drain width (${W}_{\rm D}$) was
fabricated as 600, 400, 200, and 80 nm splits with fixed source width (${W}_{\rm S}=
3$ $\mu$m), and the GSG on-chip measurement was performed. As shown in Fig. 6(b), as the channel at the drain side where 2-DEG oscillation occurs is more localized
by STI, the enhanced output $\Delta{u}$ has been obtained by the intensified boundary
conditions. These results clearly show that the enhancement of the $\Delta{u}$ of
the THz detector with confined channel is due to the enhanced electron density (inset).
Fig. 7(a) shows the free-space measurement setup for $\Delta {u}$ at 0.1-THz radiation using
a packaged trantenna fabricated in a 28-nm CMOS foundry technology. The setup consists
of a lock-in amplifier for measuring $\Delta {u}$ and an SMU for applying the gate
voltage (${V}_{\rm G}$). The trantenna is directly illuminated by a 0.1-THz wave generator
equipped with a horn antenna.
Fig. 7. (a) Free space $\Delta u$ measurement setup for the trantenna at 0.1 THz system.
(b) Normalized $\Delta u$ as a function of gate voltage for the different confined
and non-confined channel structures. Symbols and error bars show the average and standard
deviation from 4 packaged samples of each detector group, respectively (inset).
Fig. 7(b) shows the measured normalized $\Delta {u}$ of the trantenna under 0.1-THz radiation
as a function of gate voltage. The plotted data represent the averaged values from
four packaged die test chips, and the standard deviation of the $\Delta {u}_{\rm peak}$
is presented in the inset. The peak $\Delta{u}$ appears near the threshold voltage
(${V}_{\rm TH}$), where a weak inversion layer is formed. Experimentally, we demonstrated
a 2.25-fold performance enhancement in the trantenna with a confined-channel structure
compared to the non-confined-channel structure, which can be attributed to the intensified
boundary conditions imposed by the STI-surrounded channel. These findings suggest
that further improvement may be achievable through structural optimization of the
plasmonic trantenna THz detector.
IV. CONCLUSIONS
We experimentally demonstrate a significantly enhanced performance in THz detection
based on a monolithic trantenna fabricated using 28-nm CMOS technology. The effects
of asymmetric boundary conditions at the channel in non-resonant plasmonic THz detection
have been investigated. Furthermore, we show that the performance of the confined
channel trantenna within the highly localized channel, fabricated using STI technology,
is more enhanced than conventional monolithic trantenna devices. These results can
provide the possibility for further performance improvements through structural optimization
for real-time, large-area THz imaging systems, and offer promising prospects for advancing
CMOS-based plasmonic THz sensors for both scientific research and practical applications
in near-future THz imaging technologies.
ACKNOWLEDGMENTS
This work was supported in part by the National Research Foundation of Korea (NRF)
funded by the Korea government (MSIT) under Grant RS-2022-NR072363 and RS-2024-00411374;
and in part by Ulsan National Institute of Science and Technology under Grant 1.250005.01;
the chip fabrication and EDA tool were supported by the IC Design Education Center
(IDEC), Korea.
References
P. H. Siegel, ``Terahertz technology,'' IEEE Transactions on Microwave Theory and
Techniques, vol. 50. no. 3, pp. 910-928, Mar. 2002.

M. Tonouchi, ``Cutting-edge terahertz technology,'' Nature Photon, vol. 1, no. 2,
pp. 97–105, Feb. 2007.

M. I. Dyakonov and M. S. Shur, ``Plasma wave electronics: novel terahertz devices
using two dimensional electron fluid,'' IEEE Transactions on Electron Devices, vol.
43, no. 10, pp. 1640-1645, Oct. 1996.

J. Lu, M. S. Shur, J. L. Hesler, L. Sun, and R. Weikle, ``Terahertz detector utilizing
two-dimensional electronic fluid,'' IEEE Electron Device Letter, vol. 19, no. 10,
pp. 373–375, Oct. 1998.

W. Knap, M. Dyakonov, D. Coquillat, F. Teppe, N, Dyakonova, J. Lusakowski, K. Karpierz,
M. Sakowicz, G. Valusis, D. Seliuta, I. Kasalynas, A. E. Fatimy, Y. Meziani, and T.
Otsuji, ``Field effect transistors for terahertz detection: Physics and first imaging
applications,'' Journal of Infrared, Millimeter, and Terahertz Waves, vol. 30, no.
12, pp. 1319–1337, Aug. 2009.

M. Dyakonov and M. Shur, ``Detection, mixing, and frequency multiplication of terahertz
radiation by two-dimensional electronic fluid,'' IEEE Transactions of Electron Devices,
vol. 43, no. 3, pp. 380–387, Mar. 1996.

W. Knap, V. Kachorovskii, Y. Deng, S. Rumyantsev, J. –Q. Lu, R. Gaska, M. S. Shur,
G. Simun, X. Hu, M. Asif Khan, C. A. Saylor, and L. C. Brunel, ``Nonresonant detection
of terahertz radiation in field effect transistors,'' Journal of Applied Physiscs,
vol. 91, no. 11, pp. 9346–9353, Jun. 2002.

R. Jain, P. Hilger, J. Grzyb, E. Ashna, V. Jagtap, R. Zatta, and U. R. Pfeiffer, ``A
$32\times32$ pixel 0.46-to-0.75 THz light-field camera SoC in 0.13$\mu$m CMOS,'' Proc.
of IEEE International Solid-State Circuits Conference (ISSCC), San Francisco, CA,
USA, pp. 484–486, Feb. 2021.

E. Ojefors, U. R. Pfeiffer, A. Lisauskas, and H. G. Roskos, ``A 0.65 THz focal-plane
array in a quarter-micron CMOS process technology,'' IEEE Journal of Solid-State Circuits,
vol. 44, no. 7, pp. 1968-1976, Jul. 2009.

M. W. Ryu, K. S. Kim, J. S. Lee, K. Park, J.–R. Yang, S.–T. Han, and K. R. Kim, ``Performance
enhancement of plasmonic sub-terahertz detector based on antenna integrated low-impedance
silicon MOSFET,'' IEEE Electron Device Letters, vol. 36, no. 3, pp. 220-222, Mar.
2015.

M. W. Ryu, R. Patel, S. H. Ahn, H. J. Jeon, M. S. Choe, E. Choi, K. J. Han, and K.
R. Kim, ``Trantenna: Monolithic transistorantenna device for real-time THz imaging
system,'' Proc. of Symposium on VLSI Technology, Kyoto, Japan, pp. T146–T147, Jun.
2017.

R. Patel, M. W. Ryu, M. S. Choe, E. Choi, K. R. Kim, and K. J. Han, ``Monolithic circular
transistor-antenna design for high performance plasmonic millimeter-wave detectors,''
IEEE Transactions on Antennas and Propagation, vol. 68, no. 4, pp. 2511–2522, Apr.
2020.

M. W. Ryu, J. S. Lee, K. S. Kim, K. Park, J.-R Yang, S.-T Han, and K. R. Kim, ``High-performance
plasmonic THz detector based on asymmetric FET with vertically integrated antenna
in CMOS technology,'' IEEE Transactions on Electron Devices, vol. 63, no. 4. pp.1742-1748,
April 2016.

M. W. Ryu, S.-H Kim, and K. R. Kim, ``Enhanced photoresponse of plasmonic terahertz
wave detector based on silicon field effect transistors with asymmetric source and
drain structures,'' Journal of Semiconductor Technology and Science, vol. 13, no.
6, pp. 576-580, Dec. 2013.

D. Zhao, Y. Wang, J. Shao, Y. Chen, Z. Fu, F. Liu, H. Yang, A, Du, J. Li, W, Wang,
and L. Li, ``Study of the yield improvement and reliability of 28 nm advanced chips
based on structural analysis,'' Jornal of Materials Science: Materials in Electronics,
vol. 32, pp. 18076-18086, Jun. 2021.

Yoo Bin Song received the B.S. degree in electrical engineering from Hongik University,
Seoul, Korea, in 2020. He is currently working toward the combined M.S. and Ph.D.
degree in the Department of Electrical Engineering, Ulsan National Institute of Science
and Technology (UNIST), Ulsan, Korea. His research interests include physical modeling,
simulations, and reliability analysis of nanoscale CMOS devices, as well as terahertz
(THz) detectors based on plasma wave transistors (PWTs).
Min Woo Ryu received the B.S. degree in electrical engineering from Soongsil University,
Seoul, Korea, in 2011, and the Ph.D. degree in electrical engineering from the Ulsan
National Institute of Science and Technology (UNIST), Ulsan, Korea, in 2017. He has
been a research professor with the Department of Electrical Engineering, UNIST, since
2021. His research interests include physical modeling and experiments of terahertz
(THz) detectors based on plasma wave transistors (PWTs) and Schottky barrier diodes
(SBDs).
E-San Jang received the B.S. and Ph.D. degrees in electrical engineering from the
Department of Electrical Engineering, Ulsan National Institute of Science and Technology
(UNIST), Ulsan, Korea, in 2015 and 2021, respectively. He was with imec, Leuven, Belgium,
during the time of this work. His research interests include physical modeling and
experiments of terahertz (THz) detectors based on plasma wave transistors (PWTs) and
Schottky barrier diodes (SBDs).
Kyung Rok Kim received the B.S., M.S., and Ph.D. degrees in electrical engineering
and computer science from Seoul National University, Seoul, Korea, in 1999, 2001,
and 2004, respectively. From 2004 to 2006, he was with the Stanford Technology Computer-Aided
Design (TCAD) Group at Stanford University, Stanford, CA, USA, as a postdoctoral research
associate, where he developed TCAD-based quantum tunneling models. From 2006 to 2010,
he was with Samsung Electronics Co., Ltd., Suwon, Korea, as a senior engineer, where
he developed unified process–device–circuit analysis tools for memory and logic devices.
In 2010, he joined the Department of Electrical Engineering, Ulsan National Institute
of Science and Technology (UNIST), Ulsan, Korea, where he is currently a full professor
with tenure. His current research interests include nanoelectronic emerging devices
and circuits, future CMOS and memory devices, low-power nanoscale ICs, neuromorphic
and quantum device modeling, and terahertz (THz) plasma-wave transistors with TCAD-based
device/circuit co-design platforms.