A Compact Wide-swing Self-biased Cascode Current Mirror for Wide Dynamic-range Applications
YeoSeongil1
KimJaejin1
KooGunmo1
ChoKunhee1
-
(School of Electronics Engineering, Kyungpook National University, Daegu, Korea)
-
(Department of Semiconductor Convergence Sungkyunkwan University, Suwon, Korea)
Copyright © The Institute of Electronics and Information Engineers(IEIE)
Index Terms
Cascode current mirror, low-voltage, self-biased, wide-swing, wide dynamic-range
I. INTRODUCTION
The current mirror is a fundamental design block in analog integrated circuits, providing
both supply and reference currents to each design block. The cascode current mirror
is widely used due to its larger output resistance and greater mirroring accuracy
compared to the single-ended current mirror [1]. To reduce the voltage headroom in low-supply voltage, wide voltage swing operation
is required for the cascode current mirror [2]. Moreover, wide dynamic-range operation is crucial for applications where the reference
current varies over a wide range [3]. For instance, current sensing in switching power converters [4,5] necessitates a wide dynamic-range current mirror. Fig. 1 shows the high-side (HS) and low-side (LS) current sensing circuits in a switching
power converter. The current sensing circuit is followed by the current mirror to
utilize the sensed current information. Since the inductor current can be varied by
the output load ($R_{L}$), inductance (${L}$), switching frequency, and duty-cycle,
the following current mirror has to operate at a wide dynamic-range. In particular,
when the switching power converter operates in the discontinuous conduction mode (DCM),
the inductor current may drop to 0 A. Therefore, the current mirror has to be designed
to cover the current levels ranging from 0 A to the maximum current rating of the
inductor.
Fig. 1. High-side and low-side current sensing circuits in the switching power converter.
In this paper, a wide-swing self-biased cascode current mirror designed for wide dynamic-range
applications is described. Unlike conventional cascode current mirrors, the proposed
structure is compact and demonstrates high accuracy across a wide dynamic-range while
maintaining a wide voltage swing at the output.
This paper is organized as follows. Section II introduces the conventional cascode
current mirrors. Section III describes the proposed wide-swing cascode current mirror
and Section IV provides the circuit implementation and measurement results, followed
by the conclusion in Section V.
II. CONVENTIONAL CASCODE CURRENT MIRRORS
Fig. 2 shows the different types of conventional wide-swing cascode current mirrors. The
cascode current mirror consists of four transistors $M_{N1}$, $M_{N2}$, $M_{N3}$,
and $M_{N4}$. A wide voltage swing can be achieved by connecting the gate of $M_{N1}$
and $M_{N2}$ ($V_{G1}$) to the drain of $M_{N3}$, and properly biasing the gate of
$M_{N3}$ and $M_{N4}$ ($V_{G2}$). Assuming that the same sized NMOS transistors are
used for $M_{N1}$, $M_{N2}$, $M_{N3}$, and $M_{N4}$ in implementing the cascode current
mirror and ignoring the body effect, $V_{G2}$ should be biased as follows [6]:
where $V_{T}$ and $V_{OV}$ are the threshold and overdrive voltage of the NMOS used
in the current mirror, respectively.
The $V_{G2}$ can be biased with an extra current path as shown in Fig. 2(b). In addition to the reference current path, the extra current path is added and bias
the $V_{G2}$ to $V_{T} +2V_{OV}$ by setting the overdrive voltage of $M_{NB1}$ to
$2V_{OV}$. Although, this structure can achieve wide-swing and wide dynamic-range
operation, it is not preferable to use in the current mirrors of CM1 and CM3 in Fig. 1, because the extra current path requires an additional current sensing circuit. Therefore,
the self-biased current mirror structure is necessary here.
The wide-swing self-biased cascode structure can be implemented using a resistor ($R_{B}$)
or an isolated-active device ($M_{PB1}$) [7] as shown in Figs. 2(c) and 2(d), respectively. The $V_{G2}$ can be self-biased by choosing the $R_{B}$ value to set
the voltage drop across the $R_{B}$ to $V_{OV}$ [Fig. 2(c)]. However, self-biasing with a resistor is not suitable for the wide dynamic-range
applications because the voltage drop across the resistor is proportional to the reference
current ($I_{REF}$), while $V_{OV}$ is proportional to the $\sqrt{I_{REF}}$. To resolve
this issue, the isolated-active device ($M_{PB1}$) can be used as shown in Fig. 2 (d) [7]. Assuming the threshold voltage of PMOS and NMOS are nearly identical, $V_{G2}$ can
be set to $V_{T}+2V_{OV}$ by setting the $V_{OV}$ of $M_{PB1}$ to the same value as
the $V_{OV}$ of $M_{N3}$. Therefore, the $\Delta V_{G2}$ is proportional to $\sqrt{I_{REF}}$
allowing $V_{G2}$ to track $V_{T} +2V_{OV}$ across a wide range of the reference currents.
However, this approach requires the isolated MOSFET to use as an active-device, which
increases the die size. In addition, it cannot be used for P-type current mirror if
the deep N-well process is not supported which is essential for using an isolated
NMOS transistor.
Fig. 2. Cascode current mirrors. (a) Baseline structure. (b) Biased by the extra current
path. (c) Self-biased by the resistor. (d) Self-biased by the isolated active-device
[6].
(a)
(b)
(c)
(d)
III. PROPOSED WIDE-SWING CASCODE CURRENT MIRROR
Fig. 3 shows the proposed wide-swing self-biased cascode current mirror, which employs the
non-isolated active-device. A P-type active-device is used for the NMOS current mirror
[Fig. 3(a)], with its gate connected to GND, and an N-type active-device is used for the PMOS
current mirror [Fig. 3(b)], with its gate connected to the supply-voltage ($V_{DD}$). In the proposed structure,
$V_{G2}$ is determined by the $V_{SG}$ of $M_{PB2}$, however, the body effect has
to be considered since a non-isolated active-device is used. Therefore, $V_{G2}$ in
Fig. 3(a) can be expressed as follows:
where $V_{T0}$ is the threshold voltage without the body effect, ${\Delta} V_{T2}$
is the amount of threshold voltage varies caused by the body effect. $\Delta V_{T,PB2}$
also can be expressed as follows:
where $\gamma$, ${\phi }_F$, and $V_{SB}$ are the body effect coefficient, the fermi
potential of the substrate, and the body-to-source voltage, respectively. Since the
$|V_{SB,PB2}|$ is increased by $\sqrt{I_{REF}}$, ${\Delta} V_{T,PB2}$ is inverse proportional
to $\sqrt[4]{I_{REF}}$. Therefore, ${\Delta} V_{G2}$ is proportional to $\sqrt{I_{REF}}$
by $V_{OV, PB2}$ term and inverse proportional to $\sqrt[4]{I_{REF}}$ by the body
effect.
When considering a wide-range of $I_{REF}$, the body effect becomes less effective
at high $I_{REF}$, and $V_{G2}$ can be approximated as $V_{T0,PB2} + V_{OV,PB2}$.
Assuming that the threshold voltage of PMOS and NMOS are nearly the same, $V_{OV,PB2}$
is set to $V_{OV, N1} + V _{OV,N2}$ by appropriately sizing $M_{PB2}$ to achieve wide-swing
operation. On the other hand, at low $I_{REF}$, $V_{OV,PB2}$ is almost negligible,
and $V_{G2}$ can be approximately as $V_{T0,PB2} + \Delta V_{T,PB2}$, whereas $V_{G2}$
is $V_{T0,PB1}$ in the conventional approaches [Figs. 2(b) and 2(d)]. Thus, the proposed approach shows a higher $V_{G2}$ due to the body effect of the
biasing device ($M_{PB2}$), which is beneficial in reducing current mirror mismatch
at low $I_{REF}$. In conventional current mirrors, the $V_{DS}$ of $M_{N1}$ and $M_{N2}$
decreases to a small value at low $I_{REF}$, and even a small mismatch of $V_{DS}$
between $M_{N1}$ and $M_{N2}$ can lead to significant current mirror mismatch. By
applying a higher $V_{DS}$ of $M_{N1}$ and $M_{N2}$ in the proposed approach, the
channel length modulation can be suppressed, and current mirror mismatch can be reduced.
Therefore, a wider range of $I_{REF}$ with lower current mirror mismatch can be achieved
in the proposed structure. The design procedure is very simple, requiring the sizing
of $M_{PB2}$ to satisfy Eq. (2) to meet Eq. (1) at the highest $I_{REF}$. This ensures that the current mirror maintains high accuracy
over a wide-range of $I_{REF}$.
Fig. 3. Proposed wide-swing self-biased cascode current mirrors. (a) NMOS current
mirror self-biased by the P-type active-device. (b) PMOS current mirror self-biased
by the N-type active-device.
(a)
(b)
IV. CIRCUIT IMPLEMENTATION AND MEASUREMENT RESULTS
The proposed wide-swing self-biased current mirror has been implemented in 0.18 $\mu$m
CMOS process. Fig. 4 shows the schematic of the implemented self-biased current mirror along with its
parameters. To ensure a fair comparison among different bias devices, a single cascode
current mirror ($M_{P1} -M _{P4}$) is utilized, and different bias devices can be
selected by S[2:0]. As a result, the current mirror can be tested with the proposed
bias device ($M_{NB2}$) as well as conventional bias devices ($R_{B}$ and $M_{NB1}$).
In addition, by employing the same mirrored circuit ($M_{P1} -M_{P4}$), the performance
mismatch caused by process variation can be avoided.
Fig. 4. (a) Schematic of implemented self-biased wide-swing current mirror. (b) Circuit
parameters.
(a)
(b)
For wide dynamic-range applications, the wide-swing operation has to be achieved at
the maximum $I_{REF}$, ensuring that the voltage swing is not limited through the
entire range of $I_{REF}$. Therefore, the bias devices ($R_{B}$, $M_{NB1}$, and $M_{NB2}$)
are sized appropriately that $V_{G2}$ is set to almost the same level at the maximum
$I_{REF}$, ensuring a consistent maximum voltage swing performance. Once the highest
voltage swing is set at the maximum $I_{REF}$, the dynamic-range of $I_{REF}$ can
be fairly compared by decreasing its level.
Fig. 5. (a) Chip photograph and layout. (b) Test-setup.
(a)
(b)
Fig. 5 depicts the chip photograph, and layout. The sizes of $R_{B}$, $M_{NB1}$, and $M_{NB2}$
are 40 $\mu$m${}^{2}$, 557 $\mu$m${}^{2}$, and 28 $\mu$m${}^{2}$, respectively. The
$M_{NB1}$ occupies a relatively large area due to its requirement for an isolated
device, which utilizes a deep N-well process to isolate the body of $M_{NB1}$ from
the P-substrate. The supply voltage of 1.8 V is applied, and $V_{OUT}$ is set to 0.5
V. The $I_{REF}$ is varied from 30 nA to 40 $\mu$A, and the mismatch of current mirror
is shown in Fig. 6. At low $I_{REF}$, the mismatch of the current mirror biased by the resistor structure
is degraded because the voltage drop across the resistor is proportional to the $I_{REF}$,
which is not suitable for the wide dynamic-range operation. The mismatch results for
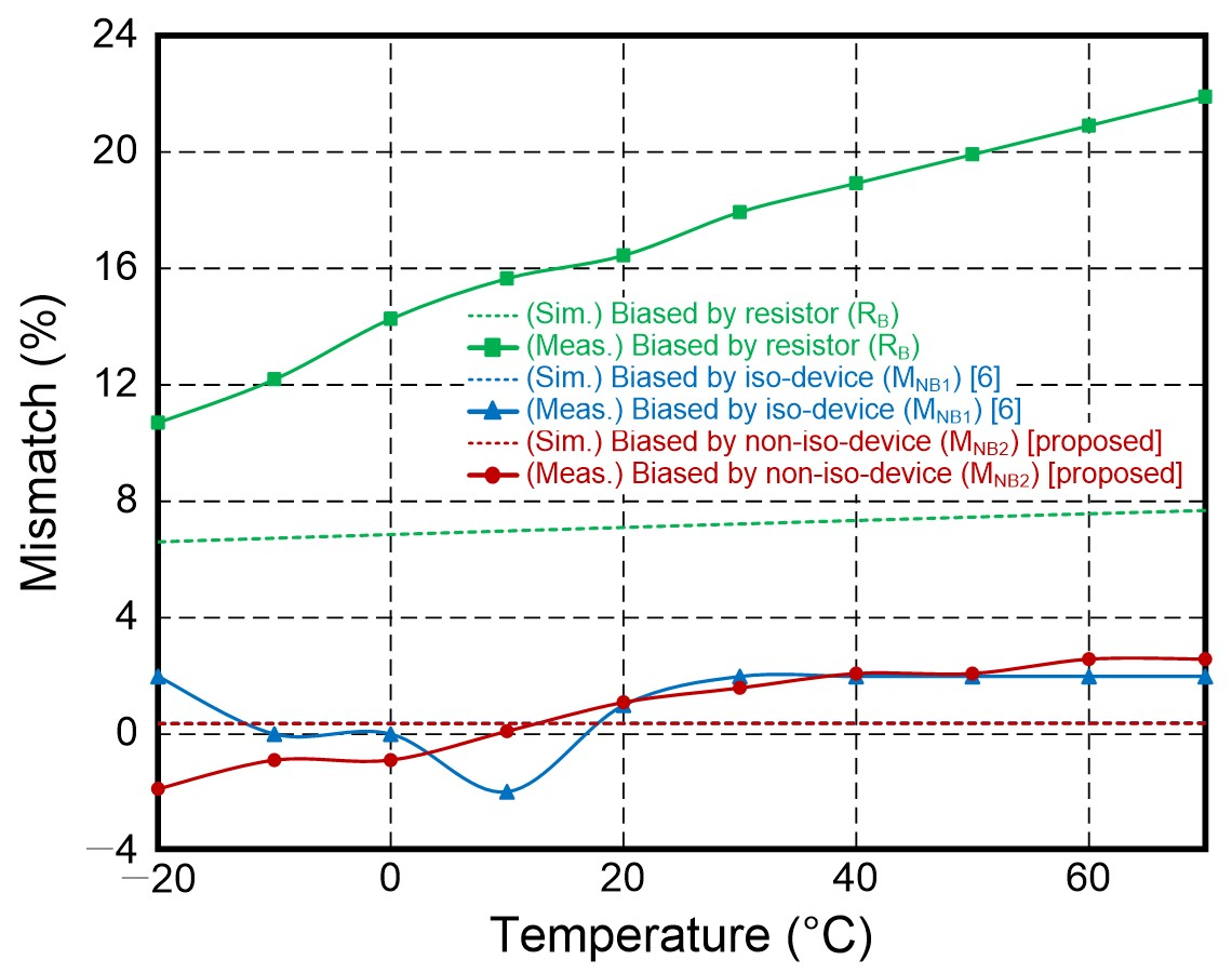
both the biased by the isolated and non-isolated active devices are similar. Fig. 7 shows the measured current mirror mismatch at different temperature with the $I_{REF}$
of 100nA. The current mirror biased by the resistor shows significant mismatch variation
compared to the active device biasing methods due to the difference in temperature
coefficient between the resistor and the threshold voltage of the transistors.
Fig. 6. Measured current mirror mismatch at different $I_{REF}$.
Fig. 7. Measured current mirror mismatch at different temperature with $I_{REF}$ of
100 nA.
Table 1. Performance comparison.
|
Bias type
|
Resistor
|
Isolated
active-device
[7]
|
Non-isolated
active-device
[Proposed]
|
|
Dynamic
range*
|
×4
(5μA–20μA)
|
×1333
(30nA–40μA)
|
×1333
(30nA–40μA)
|
|
Mismatch
range
|
0.5%–18.6%
|
-0.9%–1.6%
|
-1.1%–1.5%
|
|
Isolated
device
requirement
|
No
|
Yes
|
No
|
|
Bias device
size
|
40μm2
|
557μm2
|
28μm2
|
* Dynamic-range is defined by the $I_{REF}$ range with the mismatch within 3%
Table 1 summarizes the performance and provides a comparison with other biasing structure.
The proposed structure can achieve $\times 333$ wider dynamic-range compared to the
resistor based biasing structure. Furthermore, it is a compact design that can achieve
wide dynamic-range without the requirement for an isolated active device. The area
of the bias device is reduced by approximately 20 times compared to prior work [7], while achieving a similar wide dynamic range.
V. CONCLUSIONS
A wide-swing self-biased cascode current mirror for wide dynamic-range is demonstrated.
The proposed structure can achieve high accuracy and wide voltage swing over a wide
range of $I_{REF}$ without requiring an extra current path or an isolated active device.
The implemented current mirror was tested with different bias devices, showing better
current mirror mismatch and $\times333$ wider dynamic-range compared to conventional
resistor-based biasing structure. It is also a compact design that can be easily biased
by a non-isolated active device.
ACKNOWLEDGMENTS
This work was supported in part by the Institute of Information and Communications
Technology Planning and Evaluation (IITP) grant funded by the Korea Government (MSIT)
through the Project ``Development of High Performance Processing-in-Memory Technology
based on DRAM'' under Grant 2022-0-01037; and in part by Korea Planning & Evaluation
Institute (KEIT) grant funded by the Korea Government (MOTIE) under Grant RS-2024-00404313
(Development of a 650 V GaN-based power converter single IC for mobile device charging
adapter). The EDA tool was supported by the IC Design Education Center (IDEC), Korea.
References
O. Charlon and W. Redman-White, ``Ultra high-compliance CMOS current mirrors for low
voltage charge pumps and references,'' Proc. of IEEE European Solid-State Circuits
Conf. (ESSCIRC), pp. 227-230, Sep. 2004.

F. Ledesma, R. Garcia, and J. Ramirez-Angulo, ``Comparison of new and conventional
low voltage current mirrors,'' Proc. of Midwest Symposium on Circuits and Systems
(MWSCAS), pp. II-49-II-52, Aug. 2002.

E. Bruun and P. Shah, ``Dynamic range of low-voltage cascode current mirrors,'' Proc.
of IEEE Int. Symp. Circuits and Systems (ISCAS), pp. 1328-1331, Apr. 1995.

D. Park and H. Lee, ``Improvements in light-load efficiency and operation frequency
for low-voltage current-mode integrated boost converters,'' IEEE Trans. Circuits Syst.
II: Exp. Briefs, vol. 61, no. 8, pp. 599-603, Aug. 2014.

M. Du, H. Lee and J. Liu, ``A 5-MHz 91% peak-power-efficiency buck regulator with
auto-selectable peak- and valley-current control,'' IEEE J. Solid-State Circuits,
vol. 46, no. 8, pp. 1928-1939, Aug. 2011.

B. Razavi, Design of Analog CMOS Integrated Circuits, 2nd ed., McGraw-Hill Education,
USA, 2017.

M. Akbari, A. Javid, and O. Hashemipour, ``A high input dynamic range, low voltage
cascode current mirror and enhanced phase-margin folded cascode amplifier,'' Proc.
of IEEE Iranian Conf. Elec. Eng. (ICEE), pp. 77-81, May 2014.

Seongil Yeo received his B.S. and M.S. degrees in electronics engineering from
Kyungpook National University, Daegu, Korea, in 2022 and 2024, respectively. He is
currently working toward the Ph.D. degree in semiconductor convergence engineering
at Sungkyunkwan University, Suwon, Korea. His research interests include power management
ICs, charger designs and high-voltage gate drivers.
Jaejin Kim received his B.S. and M.S. degrees in electronics engineering from Kyungpook
National University, Daegu, Korea, in 2021 and 2023, respectively. He is currently
an IC Design Engineer with Wavepia Inc., Hwaseong, Korea. His research interests include
power management ICs and PLLs for memory systems.
Gunmo Koo received his B.S. and M.S. degree in electronics engineering from Kyungpook
National University, Daegu, Korea, in 2022 and 2024, respectively. He is currently
an IC Design Engineer with Samsung Electronics, Hwaseong, Korea. His research interests
include power management ICs and PLLs for memory systems.
Kunhee Cho received the B.S. and M.S. degrees in electrical and electronic engineering
from Yonsei University, Seoul, South Korea, in 2007 and 2009, respectively, and the
Ph.D. degree in electrical and computer engineering from the University of Texas at
Austin, Austin, TX, USA, in 2016. From 2009 to 2012, he was with the Fairchild Semiconductor,
Bucheon, South Korea, where he designed power management integrated circuits (ICs).
In 2015 and 2016, he was a Graduate Research Intern with the Texas Instruments Incorporated,
Dallas, TX, USA, in the low-power RF team. From 2017 to 2020, he was with Qualcomm
Technologies Incorporated, Santa Clara, CA, USA, where he designed power management
ICs for battery charger systems. From 2020 to 2025, he was an Associate Professor
with Kyungpook National University, Daegu, South Korea. In 2025, he joined Sungkyunkwan
University, Suwon, South Korea. His research interests include power management ICs,
high-voltage gate drivers, class-D amplifiers, and RF power amplifiers. Dr. Cho was
a recipient of the Texas Instruments Outstanding Student Design Award in 2013.