ChaeMyeongsu1
KimHyungtak1
-
(Department of Electronic and Electrical Engineering, Hongik University, Seoul, Korea)
Copyright © The Institute of Electronics and Information Engineers(IEIE)
Index Terms
E-mode GaN HEMT, time-dependent degradation, forward gate voltage stress, TTF (time-to-failure), temperature dependence
I. INTRODUCTION
AlGaN/GaN HEMTs present themselves as promising candidates for high frequency (RF)
and power switching applications. GaN possesses remarkable characteristics, including
a high critical field (3.3 MV/cm), a wide band gap (3.4 eV), and high electron mobility
(2000 cm$^{2}$/V·s) [1-3]. Conventional AlGaN/GaN HEMTs operate in normally-on mode (D-mode) due to the formation
of a two-dimensional electron gas (2DEG) channel by spontaneous and piezoelectric
polarization [4]. However, in high power applications, normally-off (E-mode) operation is preferred
due to the concerns regarding stability and power consumption. Among several methods
[5-8] to achieve E-mode operation, the most promising technology is p-GaN gate HEMTs, which
involve the p-GaN layer beneath the gate electrode. The p-GaN layer raises the overall
energy band, resulting in the elimination of the 2DEG channel and facilitating E-mode
operation [9]. P-GaN gate HEMTs can feature either Ohmic contact [10] or Schottky contact [11] as gate electrode. Ohmic contact presents an issue of gate leakage current under
forward gate bias, while Schottky contact can substantially reduce the gate leakage
current [12]. Schottky-type p-GaN gate HEMTs involve back-to-back diodes, the Schottky diode at
the gate electrode/p-GaN junction and the p-i-n diode at the p-GaN/AlGaN/GaN junction.
The Schottky junction and the p-i-n junction effectively block the gate leakage current
under forward gate bias and reverse bias, respectively. However, a high electric field
in the reverse-biased Schottky junction causes gate reliability concerns, such as
threshold voltage instability [13,14], dynamic R$_{\mathrm{on}}$ instability [15], and time-dependent degradation [16,17]. Additionally, considering that power switching applications are commonly employed
under elevated temperatures, conducting temperature-dependent degradation testing
is imperative to ensure both performance and reliability.
In this paper, we investigated the gate reliability of p-GaN gate HEMTs by applying
forward gate voltage stress. The breakdown voltage depending on the temperature was
confirmed through the step voltage stress. The temperature dependence and mechanism
of time-dependent degradations were examined at various gate voltages and temperatures.
Utilizing different voltages at room temperature, we estimated the maximum gate voltage
suitable for 10 years of operation from the Weibull plot. Furthermore, the activation
energy (E$_{\mathrm{a}}$) was extracted from the Arrhenius involving different temperature
conditions.
II. MEASUREMENT
The devices analyzed in this study are commercially available 650 V E-mode AlGaN/GaN
HEMTs with Schottky-type p-GaN gate (GS-065-004-1-L) [18]. DC characteristic measurements, step voltage stress, and constant voltage stress
were carried out using Keithley’s 2410 and 2651A source meters. Fig. 1 illustrates the transfer characteristics measured from 25 ℃ to 200 ℃ in p-GaN gate
HEMTs. The threshold voltage at I$_{\mathrm{D}}$=1 mA was found to be 1.34 at 25 ℃
and 1.62 V at 200 ℃. With an increasing temperature, the drain on-current declined
and the gate leakage current increased due to the heightened lattice scattering resulting
from elevated temperature. A. Stockman et al. [19] studied the gate conduction mechanisms in p-Gate AlGaN/GaN HETMs. When a positive
gate bias is applied, holes can migrate through thermionic emission (TE), and thermally
assisted tunneling (TAT), depending on the applied gate bias. The gate current in
low positive gate bias regime (0<V$_{\mathrm{GS}}$<4~V) presents a pronounced temperature
dependence, indicating that the gate current can be characterized by TE of holes from
the gate electrode into the p-GaN layer as shown in Fig. 1(b).
Fig. 1. (a) ID-VGS; (b) IG-VGS characteristics of p-GaN gate HEMTs at different temperatures.
III. RESULT AND DISCUSSION
1. Gate Step Voltage Stress
Step voltage stress was conducted within a temperature range of 25 ℃ to 125 ℃ to ascertain
the breakdown voltage. The gate stress voltage was incrementally raised in the steps
of 0.5 V with V$_{\mathrm{DS}}$=0 V until gate stress current reached current compliance
(20 mA), and each gate stress voltage was applied for a duration of 120 seconds as
shown in Fig. 2(a). The short-term step voltage stress test has been widely employed to investigate
the degradation of GaN power devices. He et al. [20] evaluated the robustness of p-GaN gate against forward gate bias and found the breakdown
voltage through the sudden increase of gate current by a step-stress measurement.
Rossetto et al. [21] also observed the generation of defect-related conduction processes and the catastrophic
failure through a sudden increase of the gate forward current at the breakdown voltage
by step stress experiments. The transfer characteristics was measured after each stress
test and the gate stress current (I$_{\mathrm{g.stress}}$) was monitored during the
stress test to confirm the device failure as shown Fig. 2(b). We defined a sudden rise in the gate stress current as device failure. Significant
increases in the gate stress current were observed with 10, 10.5, 11, and 11.5 V at
temperatures of 25, 75, 100, and 125 ℃, respectively. The devices exhibited a higher
breakdown voltage at higher temperature, suggesting the degradation mechanism induced
by forward gate bias in p-GaN gate HEMTs has a dependence on the temperature. Furthermore,
the device failure was verified by examining the transfer characteristics measured
after the stress test. After the 11.5 V-stress test at 125 ℃, both the drain off-current
and gate leakage current exhibited a substantial increase as shown in Fig. 3(a) and (b) while both the drain off-current and gate leakage current maintained low
levels similar to those seen in the initial device up to 11 V. This ensures abrupt
nature of GaN HEMTs degradation. To analyze this degradation mechanism in detail,
constant voltage stress measurements was performed at varying stress voltages and
temperatures.
Fig. 2. (a) Schematic of gate step voltage stress; (b) Gate stress current during step voltage stress at different temperatures.
Fig. 3. (a) ID-VGS; (b) IG-VGS characteristics before and after step voltage stress at 125 ℃.
2. Time-dependent Degradation
To investigate the time-dependent degradation mechanism induced by forward gate bias,
constant voltage stress was conducted by applying V$_{\mathrm{g.stress}}$ of 9.2,
9.4, and 9.6 V with V$_{\mathrm{DS}}$=0 V at room temperature. The determination of
the gate stress voltage was based on the breakdown voltage acquired from the step
voltage stress. These determined voltages were applied until a substantial increase
in the gate stress current was observed. The gate stress current was monitored during
the constant voltage stress to confirm the catastrophic rise of the gate stress current,
which acts as an indicator of device breakdown. Time-to-failure (TTF), t$_{\mathrm{BD}}$,
is defined as the time when the device experiences failure, demonstrated by an increase
in both the drain-off current and gate leakage current (not shown in this paper).
T$_{\mathrm{BD}}$ of Schottky-type p-GaN gate HEMTs follows a Weibull distribution
under constant voltage stress, as reported in the studies involving Si MOSFETs [22] and typical GaN HEMTs [23,24]. Fig. 4(b) presents a Weibull plot of t$_{\mathrm{BD}}$ for various stress voltages. The shape
factor (${\beta}$) was extracted within the range of 1.08 to 1.89, and the mean-time-to-failure
(MTTF) was found to be 11,220, 1,804 and 352 seconds for stress voltages of 9.2, 9.4
and 9.6 V, respectively. By analyzing MTTF at various stress voltages, we derived
an estimate for the maximum applicable gate voltage of 8 V at room temperature, employing
the exponential law (E-model) as shown in Fig. 4(c). The exponential law has a robust dependence on the electric field and temperature,
where t$_{\mathrm{BD}}$ is expected to exhibit an exponential relationship with the
gate stress voltage [25,26]. Under this specific condition, the device is anticipated to have a functional lifetime
of 10 years with a 63% failure rate.
Fig. 4. (a) Gate stress current during constant voltage stress; (b) Weibull plot of tBD for various stress voltages; (c) Estimation of the maximum applicable gate voltage for the lifetime of 10 years with a 63 % failure rate.
3. Temperature-dependent Degradation
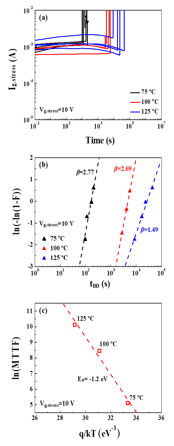
Constant gate voltage stress was conducted with V$_{\mathrm{g.stress}}$ of 10 V at
75, 100, and 125 ℃ to examine the temperature dependence of time-dependent degradation.
The initial value of the gate stress current does not exhibit temperature dependence
at a high gate voltage of 10 V as shown in Fig. 5(a). This observation indicates that the dominant gate conduction mechanism is field-dependent
such as Fowler-Nordheim tunneling in the high gate bias regime. When a forward gate
bias is applied, a number of holes can migrate from the gate electrode into the p-GaN
layer via Fowler-Nordheim tunneling and affect to the time-dependent degradation [27,28]. The Weibull plot of t$_{\mathrm{BD}}$ is illustrated for various temperatures as
shown in Fig. 5(b). The extracted MTTF values are 116, 4,728 and 26,752 seconds for temperatures of
75, 100, and 125 ℃, respectively. Longer lifetimes are observed at elevated temperatures,
which demonstrates that time-dependent degradation is temperature-dependent and alleviated
by high temperatures. The shape factor is determined to be 2.77, 2.69, and 1.49 for
75, 100, and 125 ℃, respectively. The shape factor diminished at higher temperatures
compared to room temperature. Degraeve et al. [29] and Meneghesso et al. [30] discussed that there are two modes of breakdown, electrical stress induced defects
generation-related intrinsic breakdown and the initial defect-related extrinsic breakdown.
A small shape factor suggests that the device failure is likely due to extrinsic breakdown
induced by process defects, while a large shape factor suggests that the device failure
is more likely due to intrinsic breakdown induced by electrical stress. The lower
shape factor at 125 ℃ implies that the time-dependent degradation mechanisms are associated
with the existence of initial defects rather than the generation of new defect sites
at elevated temperatures. This result demonstrates that the forward gate bias induced
degradation mechanisms is alleviated at high temperature compared to room temperature.
The Arrhenius plot obtained from MTTF at various temperatures is shown in Fig. 5(c). A negative activation energy of -1.2 eV is estimated from the Arrhenius plot, which
demonstrates that p-GaN gate HEMTs have a positive temperature dependence on time-dependent
degradation induced by forward gate bias. This observation is a unique result not
seen in Si MOSFET and conventional AlGaN/GaN HEMTs. This outcome can be attributed
to the injected holes at the Schottky junction.
When a forward gate bias is applied, the steeper band bending within the p-GaN layer
can facilitate the tunneling of holes from the gate electrode toward the p-GaN layer
as shown in Fig. 6. As these holes reach the p-GaN/AlGaN interface, holes tend to accumulate and be
trapped at the hole trap site. Rossetto et al. [31] investigated the field- and current-driven degradation of p-GaN gate HEMTs depending
on Mg-doping level. This study reported the presence of hole traps both at the p-GaN/AlGaN
interface and within the AlGaN barrier. The positive charges induced by these accumulation
and trapping of holes in the p-GaN and AlGaN layers lower the energy barrier of the
AlGaN conduction band edge. Consequently, certain electrons in the 2DEG channel are
able to spill over the AlGaN barrier and transfer toward the depleted region of the
p-GaN layer as shown in Fig. 6(a). Some of the injected electrons can recombine with holes in the non-depleted region.
Both holes and electrons that reach the depleted p-GaN region without recombining
are accelerated by a high electric field of the reverse-biased Schottky junction.
These accelerated hot carriers (holes and electrons) contribute to the degradation
of the p-GaN gate stack by generating the new defect sites through impact ionization
[11]. The gate stress current shows a severe increase due to the leakage conduction path
created by the generated defects in the depleted p-GaN region as shown in Fig. 4(a). However, the holes trapped at the p-GaN and AlGaN layers acquire significant energy
by high temperature and can be released from the trap states (de-trapping process)
at elevated temperatures as shown in Fig. 6(b) [32]. The energy barrier of the AlGaN conduction band edge is higher due to the removal
of positive charge at elevated temperature compared to room temperature. As a result,
the emission of electrons from the 2DEG channel toward the p-GaN layer is hindered.
Furthermore, the thermal scattering of carriers is notably enhanced in the depleted
p-GaN region, resulting in carriers being less capable of accelerating sufficiently.
Consequently, the generation of hot carriers and new defects is significantly diminished
due to an enhancement of thermal scattering driven by elevated temperatures. As illustrated
above, the alleviation in time-dependent degradation at high temperatures was demonstrated
by the longer lifetime, small shape parameter and negative activation energy.
Fig. 5. (a) Gate stress current during constant voltage stress; (b) Weibull plot of tBD; (c) Arrhenius plot for various temperatures.
Fig. 6. Schematic band diagrams of Schottky p-GaN gate AlGaN/GaN HEMT at (a) room temperature; (b) high temperature.
V. CONCLUSIONS
In conclusion, we investigated time-dependent degradation arising under forward gate
bias in E-mode p-GaN gate HEMTs. The gate breakdown voltage in p-GaN gate HEMTs was
raised with increasing temperature in step voltage stress measurements. The maximum
gate voltage of 8 V was determined to ensure the 10-year lifetime with a 63 % failure
rate at room temperature, using exponential law. The positive temperature dependence
of both the breakdown voltage and the lifetime was showed with negative activation
energy. The reduced shape factor at high temperatures suggests that the extrinsic
breakdown induced by process defects plays a more dominant than the intrinsic breakdown
induced by electrical stress. Time-dependent degradation of p-GaN gate HEMTs is attributed
to the impact ionization by hot carriers in the depleted p-GaN region. However, this
degradation is mitigated at elevated temperatures due to the suppression of electron
injection resulting from the de-trapping of holes and the abatement of hot carriers
by the increase of thermal scattering effect.
ACKNOWLEDGMENTS
This work was supported by NRF- 2021R1F1A1051094, 2022M3I8A1077243, and Korea
Institute for Advancement of Technology (KIAT) grant funded by the Korea Government
(MOTIE) (G02P17180000611).
References
M. Haziq, et al, “Challenges and Opportunities for High-Power and High-Frequency AlGaN/GaN
High-Electron-Mobility Transistor (HEMT) Applications: A Review,” Micromachines, Vol.
13, No. 12, p. 2133, Dec., 2022.

H. Amano, et al, “The 2018 GaN power electronics roadmap,” J. Phys. D Appl. Phys.,
Vol. 51, p. 163001, Mar., 2018.

K. J. Chen, et al, “GaN-on-Si Power Technology: Devices and Applications,” IEEE trans.
Eelctron Devices, Vol. 64, No. 3, pp. 779-795, Feb., 2017.

O. Ambacher, et al, “Two-dimensional electron gases induced by spontaneous and piezoelectric
polarization charges in N- and Ga-face AlGaN/GaN heterostructures,” J. Appl. Phys.,
Vol. 85, pp. 3222-3233, Mar., 1999.

M. Kanamura, et al, “Enhancement-Mode GaN MIS-HEMTs With n-GaN/i-AlN/n-GaN Triple
Cap Layer and High- k Gate Dielectrics,” IEEE Electron Device Lett., Vol. 31, No.
3, pp. 189-191, Feb., 2010.

W. H. Jang, et al, “Recess-Free E-Mode AlGaN/GaN MIS-HFET with Crystalline PEALD AlN
Passivation Process,” Electronics, Vol. 12, No. 7, p. 1667, Mar., 2023.

Y. Cai, et al, “High-performance enhancement-mode AlGaN/GaN HEMTs using fluoride-based
plasma treatment,” IEEE Electron Device Lett., Vol. 26, No. 7, pp. 435-437, Jun.,
2005.

Y. Zhou, et al, “p-GaN Gate Enhancement-Mode HEMT Through a High Tolerance Self-Terminated
Etching Process,” IEEE J. Electron Devices I., Vol. 5, No. 5, pp. 340-346, Jul., 2017.

G. Greco, et al, “Review of technology for normally-off HEMTs with p-GaN gate,” Mater.
Sci. Semicond. Proc., Vol. 78, pp. 96-106, May, 2018.

Y. Uemoto, et al, “Gate Injection Transistor (GIT)—A Normally-Off AlGaN/GaN Power
Transistor Using Conductivity Modulation,” IEEE Trans. Electron Devices, Vol. 54,
No. 12, pp. 3393-3399, Nov., 2007.

T. L. Wu, et al, “Forward Bias Gate Breakdown Mechanism in Enhancement-Mode p-GaN
Gate AlGaN/GaN High-Electron Mobility Transistors,” IEEE Electron Device Lett., Vol.
39, No. 10, pp. 1001-1003, Aug., 2015.

M. Meneghini, et al, “Technology and Reliability of Normally-Off GaN HEMTs with p-Type
Gate,” Energies, Vol. 10, No. 2, p. 153, Jan., 2017.

R. Wang, et al, “Evaluation on Temperature-Dependent Transient VT Instability in p-GaN
Gate HEMTs under Negative Gate Stress by Fast Sweeping Characterization,” Micromachines,
Vol. 13, No. 7, p. 1096, Jul., 2022.

L. Sayadi, et al, “Threshold Voltage Instability in p-GaN gate AlGaN/GaN HFETs,” IEEE
Trans. Electron Devices, Vol. 65, No. 6, pp. 2454-2460, Jun., 2018.

H. Wang, et al, “Maximizing the Performance of 650-V p-GaN Gate HEMTs: Dynamic RON
Characterization and Circuit Design Considerations,” IEEE Trans. Power Electron.,
Vol. 32, No. 7, pp. 5539-5549, Jul., 2017.

M. Chae, et al, “Investigation of the Gate Degradation Induced by Forward Gate Voltage
Stress in p-GaN Gate High Electron Mobility Transistors,” Micromachines, Vol. 14,
No. 5, p. 977, Apr., 2023.

A. N. Tallarico, et al, “Investigation of the p-GaN Gate Breakdown in Forward Biased
GaN-Based Power HEMTs,” IEEE Electron Device Lett., Vol. 38, No. 1, pp. 99-102, Jan.,
2017.

GaN Systems Inc. GS-065-004-1-L Datasheet. 2022.

Arno stockman, et al, “Gate Conduction Mechanisms and Lifetime Modeling of p-Gate
AlGaN/GaN High-Electron-Mobility Transistors,” IEEE Trans. Electron Devices, Vol.
65, No. 12, pp. 5365-5372, Nov., 2018.

J. He, et al, “Frequency- and Temperature-Dependent Gate Reliability of Schottky-Type
p -GaN Gate HEMTs,” IEEE Trans. Electron Devices, Vol. 66, No. 8, pp. 3453-3458, Jul.,
2019.

I. Rossetto, et al, “Time-Dependent Failure of GaN-on-Si Power HEMTs With p-GaN Gate,”
IEEE Trans. Electron Devices, Vol. 63, No. 6, pp. 2234-2339, Apr., 2016.

Y. Wu, et al, “Time-to-Breakdown Weibull Distribution of Thin Gate Oxide Subjected
to Nanoscaled Constant-Voltage and Constant-Current Stresses,” IEEE Trans. Device
Mater. Reliab., Vol. 8, No. 2, pp. 352-357, Jun., 2008.

M. Hua, et al, “Integration of LPCVD-SiNx gate dielectric with recessed-gate E-mode
GaN MIS-FETs: Toward high performance, high stability and long TDDB lifetime,” IEEE
International Electron Devices Meeting (IEDM), Feb., 2017.

T. L. Wu, et al, “Time dependent dielectric breakdown (TDDB) evaluation of PE-ALD
SiN gate dielectrics on AlGaN/GaN recessed gate D-mode MIS-HEMTs and E-mode MIS-FETs,”
IEEE International Symposium on Reliability Physics (IRPS), Jun., 2015.

J. W. Mcpherson, “Time dependent dielectric breakdown physics - Models revisted,”
Microelectron. Reliab., Vol. 52, pp. 1753-1760, Jul., 2012.

S. Khan, S. Hamdioui, “Trends and Challenges of SRAM Reliability in the Nano-scale
Era,” 5th International Conference on Design & Technology of Integrated Systems in
Nanoscale Era (DTIS), Mar., 2010.

J. He et al, “Characterization and analysis of low-temperature time-to-failure behavior
in forward-biased Schottky-type p-GaN gate HEMTs,” Appl. Phys. Lett., Vol. 116, p.
223502, Jun., 2020.

F. Masin, et al, “Positive temperature dependence of time-dependent breakdown of GaN-on-Si
E-mode HEMTs under positive gate stress,” Appl. Phys. Lett., Vol. 115, p. 0521033,
Jul., 2019.

R. Degraeve, et al, “A new model for the field dependence of intrinsic and extrinsic
time-dependent dielectric breakdown,” IEEE Trans. Electron Devices, Vol. 45, No. 2,
pp. 472-481, Feb., 1998.

G. Meneghesso, et al, “Reliability of power devices: Bias-induced threshold voltage
instability and dielectric breakdown in GaN MIS-HEMTs,” IEEE International Workshop
Integreated Reliability (IIRW), Apr., 2017.

I. Rossetoo, et al, “Field- and current-driven degradation of GaN-based power HEMTs
with p-GaN gate: Dependence on Mg-doping level,” Microelectron. Reliab., Vol. 76-77,
pp. 298-303, Sep., 2017.

A. Tajalli, et al, “Impact of sidewall etching on the dynamic performance of GaN-on-Si
E-mode transistors,” Microelectron. Reliab., Vol. 88-90, pp. 572-576, Sep., 2018.

Myeongsu Chae received the B.S. and M.S. degrees in Electronic and Electrical
Engineering from Hongik University, Seoul, Korea, in 2021 and 2023, respectively.
He is currently pursuing the Ph.D. degree at Hongik University. His research interests
relate to the analysis of the reliability of gallium nitride devices.
Hyungtak Kim received the B.S. degree in Electrical Engineering from Seoul National
University, Seoul, Korea and the M.S./Ph.D. degree in Electrical and Computer Engineering
from Cornell University, Ithaca, New York, U.S.A., in 1996 and 2003, respectively.
In 2007, he joined the school of electronic and electrical engineering at Hongik University,
Seoul, Korea and is currently a professor. His research interests include the reliability
physics of semiconductor devices and those applications toward extreme environment
electronics. Prior to joining Hongik University, he spent 4 years developing CMOS
devices and process integration for DRAM technology as a senior engineer in the semiconductor
R&D center at Samsung Electronics, Co. Ltd.