NguyenVan Cuong
ChaHo-young
KimHyungtak*
-
(School of electronic and electrical engineering, Hongik University, Seoul 04066, Korea)
Copyright © The Institute of Electronics and Information Engineers(IEIE)
Index Terms
Palladium, gallium nitride, nitrogen dioxide sensor, high electron mobility transistor, extreme temperature
I. INTRODUCTION
Nitrogen dioxide (NO$_{2}$), reddish-brown with a very harsh smell at high concentrations,
is one of the most prominent toxic gases in the atmosphere. Exposure to NO$_{2}$ can
cause serious harm to human health, such as asthma, chest tightness, obstructive lung
disease, chronic obstructive pulmonary disease (COPD) and sometimes acute exacerbation
and, in fatal cases, deaths (1-3). The major sources of nitrogen oxide emission are fossil fuel combustion, the exhaust
of motor engines and power plants. Therefore, the requirement for the development
of NO$_{2}$ gas sensors in a harsh environment is becoming more and more urgent.
Gas sensors based on semiconductors have been extensively developed in recent decades
(4-6). Generally, semiconductor-based gas sensors often require a high temperature to induce
adsorption and desorption of the target gas molecules (7-9). Although Si-based semiconductor manufacturing technologies are now mature, due to
the narrow bandgap at 1.1 eV, Si-based gas sensors cannot withstand temperatures above
200 $^{\circ}$C. To overcome that problem, gas sensors based on wide bandgap semiconductors
(GaN, SiC, Ga$_{2}$O$_{3}$) are attracting great interest recently (10-15). However, these sensors typically operate in a temperature range of about 300 $^{\circ}$C,
which is unsatisfactory in extreme situations, such as automobile exhaust pipes or
power plants.
In this paper, we studied NO$_{2}$ gas sensors based on Pd-AlGaN/GaN HEMT operating
at very high temperatures up to 500 $^{\circ}$C, thereby illustrating the outstanding
advantage of semiconductor sensors based on GaN over Si-based ones.
II. EXPERIMENTAL
1. Fabrication
The Pd-AlGaN/GaN HEMT-type sensors were fabricated at the Inter-University Semiconductor
Research Center (ISRC), Seoul, Korea using the conventional photolithography process.
The AlGaN/ GaN-on-Si wafer was purchased as a commercial product, which consisted
of a 10 nm GaN cap layer, a 13-nm Al$_{\mathrm{0.3}}$Ga$_{\mathrm{0.7}}$N barrier
layer, a 5.2 ${μ}$m i-GaN layer, and AlGaN/AlN buffer layers. Firstly, the source
and drain contacts with Ti/Al/Ni/Au (200/1200/250/500 Å) were formed by e-beam evaporation
with lift-off process followed by rapid thermal annealing (RTA) at 833 $^{\circ}$C
for 32 s in N$_{2}$ ambient. Then, 300 nm mesa isolation was performed by inductively
coupled plasma (ICP) etching with BCl$_{3}$/Cl$_{2}$ mixture gases. The 30 nm Pd layer
as a gate electrode was then formed by e-beam evaporation and a lift-off process.
Afterward, the interconnect bi-layer probing pads of Ti/Au with thickness 20/300 nm
were formed by e-beam evaporation and lift-off. A passivation layer of 200 nm SiN$_{\mathrm{x}}$
was deposited using plasma-enhanced chemical vapor deposition (PECVD) at 190 $^{\circ}$C
to protect the sensor’s surface. Finally, the SiN$_{\mathrm{x}}$ layer was patterned
and etched to open the Pd-gate to the ambient and the contact pads for measurement.
The dimensions of the Pd-gate electrode were 24 ${\mathrm{\mu}}$m ${\times}$ 120~${\mathrm{\mu}}$m,
the source-gate and gate-drain spacings were 2~${\mathrm{\mu}}$m.
Fig. 1. Cross-sectional diagram of the GaN HEMT gas sensor (a) and microscope image
of sensors (b).
2. Measurement
Gas sources consist of synthesized dry air (mixture of 20 % O$_{2}$ and 80 % N$_{2}$,
purity 99.99 %) as the background gas and 100-ppm NO$_{2}$ in N$_{2}$ ambient as target
gas. The background and the target gases were mixed by mass flow controllers (MFCs)
to archive the different concentrations of NO$_{2}$. The combined total gas flow was
set to 200 sccm in all measurements. The sensors were loaded in a chamber containing
a MSTECH hot chuck controller (MST-1000H) to control the operating temperature. The
DC and transient characteristics of the sensor were measured using the HP 4155A semiconductor
parameter analyzer.
Fig. 2. Sensing mechanism of NO2 gas sensor based on AlGaN/GaN HEMT.
3. Sensing Mechanism
The sensing mechanism of nitrogen dioxide sensors based on Pd-AlGaN/GaN HEMTs was
investigated and reported in our previous work (16). When nitrogen dioxide gas is adsorbed on the Pd catalyst layer, the nitrogen dioxide
molecules are dissociated in nitrogen monoxide (NO) going to the gas phase and oxygen
ions on the Pd surface (17,18). Then, the negatively charged oxygen ions diffuse through the gate and reach the
surface of AlGaN layers. Here, they affect the number of mobile carriers in two-dimensional
electron gas (2DEG) of the HEMT structure, leading to a reduction of drain current.
The sensitivity is defined as the ratio between the change of drain current and initial
base current:
where $\textit{I}$$_{0}$ and $\textit{I}$$_{\mathrm{NO
2}}$ are drain currents under the flow of dry air and NO$_{2}$ gas, respectively. The
response and recovery times were calculated from transient characteristics, where
they showed 90 % of the total change (${Δ}$$\textit{I}$) in drain current.
Fig. 3. Sensitivity of the sensor as a function of gate voltage in Silvaco TCAD simulation.
Table 1. Simulation parameters on TCAD Silvaco.
|
Parameters
|
Value
|
|
Al content
|
0.3
|
|
AlGaN thickness
|
13 nm
|
|
LSG
|
0.5 μm
|
|
LGD
|
0.5 μm
|
|
Metal gate work function (air)
|
5.12 eV
|
|
Metal gate work function (NO2)
|
5.355 eV
|
|
polar.scale
|
0.7
|
|
psp.scale
|
0.7
|
III. RESULT AND DISCUSSION
Firstly, we performed the Technology Computer-Aided Design (TCAD) simulation on Silvaco
Deckbuild 5.0.10.R to investigate the relationship between the sensitivity of the
HEMT sensor and the gate bias voltage. The simulation was based on physical models
of concentration-dependent lifetime (CONSRH), Auger recombination (AUGER) and Fermi
Statistics (FERMI). The NO2 gas introduction was simulated by the variation of gate work function, since the
oxygen ions, generated after adsorption of NO2 molecules on Pd catalyst layer, provided a negative charge, leading to an increase
of the Pd work function. The sensitivity curve was extracted by the transfer characteristics.
The simulation parameters were shown in Table 1. The simulation results showed that the sensitivity tended to increase as the gate
voltage decreased (Fig. 3), illustrating the trade-off between sensitivity and base current level, when the
sensitivity was defined by formula (1). This result is entirely consistent with the
results reported in (12).
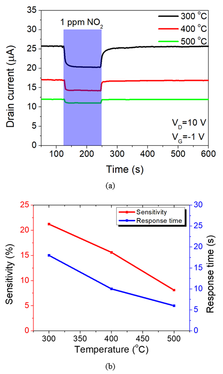
Fig. 4. Sensor’s response (a), sensitivity and response time (b) at gate voltage of
0 V at different temperatures up to 500 °C under 100 ppm of NO2.
Fig. 4 showed the sensor’s response at gate voltage of 0 V at different temperatures up
to 500 $^{\circ}$C under 100~ppm of NO$_{2}$. The sensor showed stable operation with
21, 18.3 and 9.5 % of sensitivity at 300, 400, and 500~$^{\circ}$C, respectively.
The sensor’s response time drastically decreased at higher temperatures, representing
an acceleration of adsorption of NO$_{2}$ molecules under the catalytic effect of
Pd.
Fig. 5 showed the sensor’s response at different temperatures under 1 ppm of NO$_{2}$. For
concentrations as low as 1 ppm, we measured at gate voltage of -1 V to employ the
possibility of sensitivity optimization by gate modulation of HEMTs, which was shown
in Fig. 3. A similar result was observed when a very fast response time at 500~$^{\circ}$C
of 6 s was recognized. The high sensitivity of 8.1 % for 1~ppm NO$_{2}$ showed a considerable
improvement when compared with other studies using HEMT structure (Table 2).
Fig. 5. Sensor’s response (a), sensitivity and response time (b) at gate voltage of
-1 V at different temperatures up to 500 °C under 1 ppm of NO2.
Table 2. Comparison of key parameters of NO2 gas sensor based on AlGaN/GaN HEMTs.
|
Catalyst
|
Conc.
|
Sens.
|
Temp.
|
References
|
|
Pt
|
10 ppm
|
1 %
|
300 °C
|
(12)
|
|
Pt
|
100 ppm
|
7 %
|
300 °C
|
(13)
|
|
Pt
|
0.5 ppm
|
2 %
|
300 °C
|
(14)
|
|
Pt
|
40 ppm
|
3.5 %
|
300 °C
|
(19)
|
|
Pd
|
1 ppm
|
21 %
|
300 °C
|
This work
|
|
Pd
|
1 ppm
|
8.1 %
|
500 °C
|
This work
|
IV. CONCLUSIONS
This study demonstrated the capability to operate up to 500 $^{\circ}$C of NO$_{2}$
gas sensors based on Pd-AlGaN/GaN HEMTs, illustrating the outstanding advantage of
wide bandgap GaN semiconductor. Along with the ability of sensitivity optimization
by gate modulation, the gas sensor based on AlGaN/GaN HEMTs is an excellent choice
for micro-system in harsh environments.
ACKNOWLEDGMENTS
This research was supported by Basic Science Research Program through the National
Research Foundation of Korea (NRF) funded by the Ministry of Education (2015R1A6A1A03031833)
and Institute of Information & communications Technology Planning & Evaluation (IITP)
grant funded by the Korea government (MSIT) (2021-0-00760).
REFERENCES
Ghozikali , Heibati , Naddafi K., Kloog I., Conti G.O., Polosa R., Ferrante M., 2016,
Evaluation of Chronic Obstructive Pulmonary Disease (COPD) attributed to atmospheric
O3, NO2, and SO2 using Air Q Model (2011-2012 year), Environmental Researc, Vol. 144,
pp. 99-105

Vagaggini. B., Paggiaro. P.L., Giannini. D., Franco. A.D., Cianchetti. S., Carnevali.
S., Taccola. M., Bacci. E., Bancalari. L., Dente. F.L., Giuntin. C., 1996, Effect
of short-term NO2 exposure on induced sputum in normal, asthmatic and COPD subjects.,
The European respiratory journal, Sep. 1996., Vol. 9, No. 9, pp. 1852-1857

Zhang. Z., Wang. J., Lu. W., 2018, Exposure to nitrogen dioxide and chronic obstructive
pulmonary disease (COPD) in adults: a systematic review and meta-analysis., Environmental
Science and Pollution Research, 2018, Vol. 25, pp. 15133-15145

Morrison S.R., 1981, Semiconductor gas sensors. Sensors and Actuators, , Vol. 2, pp.
329-341

Ra. H.-W., Choi. K.-S., Kim. J.-H., Hahn. Y.-B., Im. Y.-H., 2008, Fabrication of ZnO
Nanowires Using Nanoscale Spacer Lithography for Gas Sensors., Small, Vol. 4, pp.
1105-1109

Cho. W.-S., Moon. S.-I., Paek. K.-K., Lee. Y.-H., Park. J.-H., Ju. B.-K., 2006, Patterned
multiwall carbon nanotube films as materials of NO2 gas sensors. Sensors and Actuators
B: Chemical, Sensors and Actuators B: Chemical, Vol. 119, No. 1, pp. 180-185

Wu. M., Kim. C.-H., Shin. J., Hong. Y., Jin. X., Lee. J.-H., 2017, Effect of a pre-bias
on the adsorption and desorption of oxidizing gases in FET-type sensor., Sensors and
Actuators B: Chemical, Vol. 245, pp. 122-128

Sakai. G., Matsunaga. N., Shimanoe. K., Yamazoe. N., 2001, Theory of gas-diffusion
controlled sensitivity for thin film semiconductor gas sensor., Sensors and Actuators
B: Chemical, Vol. 80, No. 2, pp. 125-131

Lee. Y.C., Huang. H., Tan. O.K., Tse. M.S., 2008, Semiconductor gas sensor based on
Pd-doped SnO2 nanorod thin films., Sensors and Actuators B: Chemical, Vol. 132, No.
1, pp. 239-242

Solzbacher. F., Imawan. C., Steffes. H., Obermeier. E., Eickhoff. M. A., 2001, new
SiC/HfB2 based low power gas sensor., Sensors and Actuators B: Chemical, Vol. 77,
No. 1-2, pp. 111-115

Schalwig. J., Müller. G., Eickhoff. M., Ambacher. O., Stutzmann. M., 2002, Group III-nitride-based
gas sensors for combustion monitoring., Materials Science and Engineering: B, Vol.
93, No. 1-3, pp. 207-214

Bishop. C.M., Halfaya. Y., Soltani. A., Sundaram. S., Li. X., Streque. J., Gmili.
Y.E., Voss. P.L., Salvestrini. J.P., Ougazzaden. A., Sep, 2016, Experimental Study
and Device Design of NO, NO2, and NH3 Gas Detection for a Wide Dynamic and Large Temperature
Range Using Pt/AlGaN/GaN HEMT., IEEE Sensors Journal, Vol. 16, pp. 6828-6838

Halfaya. Y., Bishop. C., Soltani. A., Sundaram. S., Aubry. V., Voss. P.L., Salvestrini.
J.P., Ougazzaden. A., 2016, Investigation of the Performance of HEMT-Based NO, NO2
and NH3 Exhaust Gas Sensors for Automotive Antipollution Systems, Sensors, 273; Feb.
2016, Vol. 16

Ranjan. A., Agrawal. M., Radhakrishnan. K., Dharmarasu. N., Jun. 2019, AlGaN/GaN HEMT-based
high-sensitive NO2 gas sensors., Japanese Journal of Applied Physics, SCCD23, Vol.
58

Choi. J.H., Park. T.H., Hur. J.H., Cha. H.Y., 2020, AlGaN/GaN heterojunction hydrogen
sensor using ZnO-nanoparticles/Pd dual catalyst layer., Sensors and Actuators B: Chemical,
128946,, Vol. 325

Nguyen. V.C., Kim. K., Kim. H., 2021, Performance Optimization of Nitrogen Dioxide
Gas Sensor Based on Pd-AlGaN/GaN HEMTs by Gate Bias Modulation., Micromachines, Vol.
12, No. 4

Wickham D.T., Banse. B.A., Koel. B.E., 1991, Adsorption of nitrogen dioxide and nitric
oxide on Pd(111)., Surface Science, Vol. 243, No. 1-3, pp. 83-95

Sun. J., Zhan. T., Sokolovskij. R., Liu. Z., Sarro. P. M., Zhang. G., 2021, Enhanced
Sensitivity Pt/AlGaN/ GaN Heterostructure NO₂ Sensor Using a Two-Step Gate Recess
Technique., IEEE Sensors Journal, Vol. 21, No. 15, pp. 16475-16483

Author
Yoonji Park received the B.S.
degree in electronics engineering
from Ewha Womans University,
Seoul, South Korea, in 2018.
Ji-Hoon Kim received the B.S.
(summa cum laude) and Ph.D.
degrees in electrical engineering and
computer science from KAIST,
Daejeon, South Korea, in 2004 and
2009, respectively.