Mobile QR Code QR CODE

  1. (College of Electrical and Computer Engineering, Chungbuk National University, Cheongju 28644, Korea)
  2. (R&D center SK Hynix,2091, Gyeongchung-daero, Bubal-eup, Icheon-si, Gyeonggi-do, 13558, Korea)
  3. (College of Electrical and Electronics Engineering, Chung-Ang University, Seoul 06974, Korea)



IGZO thin-film, transistor, MIM structure, oxygen plasma

I. INTRODUCTION

With the recent growth in information technology, next-generation semiconductors in the steadily growing semiconductor market require high performance and reduced power consumption. For displays (one of the key components in electronic devices), the market is increasingly demanding higher resolution and larger sizes. Accordingly, recent attention has been given to oxide thin-film transistor (TFT) with high charge mobility and excellent electro-optical uniformity. Oxide TFTs are advantageous in creating screens because of their low temperature processing, high charge mobility, and high reliability, compared to conventional amorphous silicon (a-Si)-based TFTs or low-temperature polycrystalline silicon TFTs (1-5).

To overcome the limitations of existing semiconductor materials, oxide semiconductors having various composition ratios of zinc oxide (ZnO), indium gallium oxide, (S)-4-nitrostyrene oxide, nitrosyl iodide, amorphous indium gallium zinc oxide (a-IGZO), and amorphous indium zinc oxide have been studied for the channel layer in transistors. Notably, a-IGZO has high charge mobility, maintains uniformity across large areas, and has wide band gap energy. Furthermore, a-IGZO is widely used as a material for transparent displays because it is easily deposited at low temperatures through physical vapor deposition and sputtering deposition, and additionally has high light transmittance (6-11).

To date, many studies have been conducted on electrical properties and transistor performance, specifically examining various process conditions, such as insulating layer thickness, channel layer thickness, annealing temperature, and surface treatment of the channel layer (5,12-17). Recently, studies have been conducted to improve the electrical performance of oxide TFTs through plasma treatment (18-21). Recent studies have shown that tetrafluoromethane (CF4) plasma treatment improves performance by reducing contact resistance between the semiconductor channel layer and the electrode, ultimately changing surface morphology (8,22-26).

In the case of IGZO, studies such as increasing the mobility of transistors through oxygen plasma treatment and controlling internal oxygen vacancy have been conducted (27-30).

Therefore, this study analyzes the effect of surface treatment on the performance of TFTs according to the amount of oxygen injection by applying an oxygen plasma surface treatment with differing amounts of oxygen injection into the a-IGZO channel layer after the post annealing process. A device with a metal-insulator-metal (MIM) structure of a silicon dioxide (SiO2) insulating layer and an a-IGZO oxide semiconductor between the Si gate electrode and the aluminum (Al) source/drain electrode was fabricated. To observe the change in electrical and surface area characteristics of the a-IGZO channel-layer oxide semiconductor transistor based on oxygen plasma treatment with various amounts of oxygen injection, a semiconductor parameter analyzer, and an atomic force microscope (AFM) were used to identify the surface morphology of the transistor. In addition, the effects of oxygen gas injection on current persistence and stability of a-IGZO channel layer TFTs fabricated with oxygen plasma surface treatment were analyzed. Lastly, a basic logic circuit was constructed, and a dynamic inverter test was conducted to evaluate the applicability of the fabricated device as an active driving backplane display.

II. EXPERIMENT

Fig. 1 shows the structure of the a-IGZO channel layer TFT with the MIM structure. Heavily doped n-type Si wafers were used as substrates and electrodes for gate contacts. A thermal oxidation process applied a 100 nm thick SiO2 insulating film on the substrate. To remove the organic and inorganic impurities from the surface, a sulfuric acid (H2SO4)-hydrogen peroxide (H2O2) mixture for cleaning (piranha etch, a.k.a. SPM) was applied for 20 min at a temperature of 60 °C with the H2SO4 and H2O2 in a 3:1 ratio. The sample was soaked in deionized water, acetone, and an isopropyl alcohol solution, and subsequently dried in a vacuum oven for one hour after 20 min of ultra-sonication.

Fig. 1. Schematic representation of the bottom gated a-IGZO TFTs. In the device, Si is used as a gate, SiO2 is used as a gate-insulator, a-IGZO is used as an active layer (a channel layer of semiconductor), and Al is used as source and drain top electrodes.

../../Resources/ieie/JSTS.2021.21.3.189/fig1.png

Afterwards, sputtering was applied using an RF magnetron sputtering system to form an IGZO channel layer on the SiO2 insulating layer. A 1:1:1 ratio (In2O3:Ga2O3:ZnO) IGZO having a diameter of three inches was used as the target, and the distance between the target and the substrate was set to 8 cm. To remove impurities in the chamber, the initial vacuum setting in the chamber was 3 × 10-6 torr or less, using a rotary pump and a turbo molecular pump, and 30 standard cubic centimeters per minute (sccm) of argon gas was injected to maintain a vacuum in the chamber at 1.5 × 10-2 torr. The substrate was rotated at 7 rpm for uniform deposition of the thin film, and plasma was generated by applying 150 W of RF power from the RF power generator to deposit a 50 nm a-IGZO channel layer for 6 min 40 s.

After depositing the a-IGZO channel layer through the sputtering process, a post annealing process was performed to planarize the surface by reducing both the crystallization of the a-IGZO channel-layer thin film and any defects present in the thin film. The post annealing process was performed for one hour at a temperature of 350 °C under atmospheric conditions. Then, oxygen plasma surface treatment was applied using a gun-type plasma cell to analyze the surface area and electrical properties of the a-IGZO thin film from differing amounts of oxygen injection. Treatment of the a-IGZO channel layer was accomplished by applying 120 W of RF power from the RF generator for three min. Gun-type plasma cells can provide a locally uniform treatment on the target sample. As the gas collected in the crucible is ionized by the RF power applied through the coil wound around the crucible, it is released toward the crucible nozzle, and changes into a radical state to generate dense plasma. After the surface was treated with oxygen plasma, Al source/drain electrodes with a channel length of 200 μm and width of 2,000 μm were deposited using a DC magnetron sputtering system. To generate vacuum plasma in the chamber, direct current at 150 W was applied for 10 min to deposit a 100 nm Al source/drain electrode.

This study fabricated an a-IGZO channel layer TFT with no oxygen plasma surface treatment after its post annealing as a control, and we further fabricated a-IGZO channel layer TFTs with oxygen plasma surface treatment by injecting oxygen at 3 sccm, 6 sccm, or 9 sccm after the post annealing. Electrical performance and stability of the TFTs were evaluated using a semiconductor parameter analyzer (Keithley 2636, Keithley Instruments LLC) in a dark room at room temperature. To better understand how varying amounts of oxygen plasma surface treatment on the surface of a-IGZO channel layers influenced the surface microstructure of a-IGZO channel layers, AFM (ICON, Bruker Corporation) was used. The current persistence and stability of the fabricated device was analyzed through the retention current stability gate bias stress (GBS) tests using a semiconductor parameter analyzer (Keithley 4200, Keithley Instruments). Finally, an inverter circuit was configured to analyze the switching characteristics of the device to confirm its application to backplane display devices.

III. RESULTS AND DISCUSSION

In this study, varying amounts of oxygen injection were used to improve the electrical and surface performance of an a-IGZO channel layer TFT. This was investigated by applying plasma surface treatment to the a-IGZO thin films with differing amounts of oxygen injected at 3 sccm, 6 sccm, or 9 sccm after post annealing in the process of manufacturing a-IGZO channel layer TFTs.

Fig. 2 shows the output characteristic curves of the as-deposited a-IGZO TFT and the a-IGZO TFTs injected with 3 sccm, 6 sccm, and 9 sccm of oxygen for plasma surface treatment. Ids is measured by sweeping 0.5 V increments starting from Vds of 0 V up to 30 V. The gate bias voltage was applied in 10 V increments from 0 V to 30 V. In Fig. 2(b) and (c), which are the output characteristic curves of the a-IGZO TFTs injected with 3 sccm and 6 sccm of oxygen, the output curves are saturated at higher currents. This is due to the decrease in the oxygen vacancy in the a-IGZO channel layer and the decrease in the defects causing trapping, resulting in increased charge mobility and improved leakage current despite the decrease in the free electron concentration.

Fig. 2. Output characteristics of Ids-Vds curves at four different Vgs levels in TFTs with a-IGZO channel layers treatedwith oxygen plasma with gun-type plasma cell based on the amount of oxygen gas injected (a) as-deposited, (b) at 3 sccm, (c) at 6 sccm, (d) at 9 sccm.

../../Resources/ieie/JSTS.2021.21.3.189/fig2.png

However, in Fig. 2(d), which is the output characteristic curve of the a-IGZO TFT injected with 9 sccm of oxygen, the output curve is saturated at significantly lower currents, compared to Fig. 2(a) to (c), and there is no difference, even if the gate bias voltage is applied differently. This is due to the considerable reduction of free electron concentration caused by excessive injection of oxygen, leading to a removed oxygen vacancy that is more than necessary in the a-IGZO channel layer, and an increase in surface roughness. Oxygen vacancy in the thin film generally acts as a donor of the carrier, and further serves as a trap site to disturb carrier flow. Oxygen vacancy causes trap charges or leakage currents, which greatly affect the reliability of transistors. However, a decrease in oxygen vacancy can lead to reduced charge mobility and increased resistance due to a decrease in carrier density. Therefore, it is important to maintain an appropriate amount of oxygen vacancy for TFT performance (31-38).

Fig. 3 shows the transfer characteristic curves of the as-deposited a-IGZO TFT and the a-IGZO TFTs injected with 3 sccm, 6 sccm, or 9 sccm of oxygen for plasma surface treatment. The graph measures Ids by sweeping 0.5 V increments from 0 V up to 30 V, and shows Ids and square root of Ids values when Vds is fixed at 30 V.

Fig. 3. Transfer characteristics of Ids-Vgs curves and square root Ids-Vgs with Vds = 30 V in TFTs with a-IGZO channel layers treated with oxygen plasma with gun-type plasma cell based on the amount of oxygen gas injected (a) as-deposited, (b) at 3 sccm, (c) at 6 sccm, (d) at 9 sccm.

../../Resources/ieie/JSTS.2021.21.3.189/fig3.png

The electrical characteristics of the transistors were extracted based on the transfer characteristic curves, and the results are summarized in Table 1. The a-IGZO channel layer TFTs with oxygen plasma surface treatment demonstrated an increase in charge mobility and current on-off ratios, and furthermore, showed that subthreshold swing (S/S) values improved. In Fig. 3(b) and (c), which are the transfer characteristic curves of the a-IGZO TFTs injected with 3 sccm and 6 sccm of oxygen, the drain off-current is lower than the transfer characteristic curve of the as-deposited a-IGZO TFT in Fig. 3(a). The charge mobility increased by more than 3.7 cm2/Vs, and the current flashing ratio increased between tenfold and a hundredfold. The subthreshold swing of the transmission curve is more linear, and the on-current voltage shifted positively to near 0 V.

Table 1. Summary of electrical properties of a-IGZO channel layers treated with oxygen plasma based on the amount of oxygen gas injected, including μsat, Ion/Ioff, Vth, and S/S

Oxygen gas injected (sccm)

μsat (cm2/Vs)

Ion/Ioff

Vth (V)

S/S (V/dec)

Nit (cm-2)

as-deposited

10.6

1.3 × 107

2.8

0.9

4.5 × 1012

3

14.3

1.2 × 109

2.4

0.5

2.2 × 1012

6

14.4

1.1 × 108

4.5

0.7

3.3 × 1012

9

9.9

3.6 × 108

8.8

0.6

2.8 × 1012

Meanwhile, the improved electrical performance of 6 and 9 sccm sample is related to stable S/S value, the relationship between the S/S and interface trap density (Nit) is given in equation.

(1)
$$ N_{i t}=\frac{C_{i}}{q}\left[\frac{S / S \cdot \log (e)}{k \frac{T}{q}}-1\right] $$

where q is the electronic charge, k the Boltzmann constant, and T the absolute temperature. The calculated Nit values of a-IGZO TFTs from S/S are 4.5 × 1012, 2.2 × 1012, 3.3 × 1012 and 2.8 × 1012 cm−2, respectively. (as shown in Table 1) These results demonstrate that the plasma irradiation with suitable oxygen could reduce the Nit, which is helpful to reduce the electron capture behavior at trap sites by the channel surface, thereby the electrical performance including mobility is improved.

For the a-IGZO TFT injected with 3 sccm of oxygen gas, the threshold voltage (Vth) was significantly lower relative to the control, and the subthreshold swing improved by about half compared to the TFT without plasma treatment. For the a-IGZO TFT injected with 9 sccm of oxygen gas, the overall electrical characteristics of the transistor degraded as shown in the output characteristic results of Fig. 2. The current flashing ratio and the S/S value improved, but the charge mobility was reduced, the Vth was greatly increased, and the on-current voltage shifted negatively. The charge mobility seemed to decrease due to the decrease in oxygen vacancy, which is likely due to excessive injection of oxygen during the treatment.

Fig. 4 shows the results of the bias test from applying constant voltage to the gate to evaluate the current continuity, stability, and reliability of the as-deposited a-IGZO TFT and the injected a-IGZO TFTs. When Vgs and Vds were applied at 30 V each, the retention current stability was measured for about 10 min by dividing the value of Ids by the initial measurement value, Ids0. For the a-IGZO TFT with no oxygen plasma surface treatment, the measured current value decreased sharply over time from the initial value, and after about 10 min, Ids dropped to about 17 % of Ids0. On the other hand, when the a-IGZO TFTs were injected with 3 sccm and 6 sccm of oxygen, the current was maintained at about 80 % of Ids0 over time. It seems that oxygen plasma surface treatment removes impurities and defects on the a-IGZO channel layer surface and reduces oxygen vacancy and hydrocarbons to alleviate the reactivity to moisture and oxygen in the atmosphere.

Fig. 4. Retention characteristic curves of TFTs with a-IGZO channel layers treated with oxygen plasma with gun-type plasma cell based on the amount of oxygen gas injected at 0 sccm, 3 sccm, 6 sccm, and 9 sccm when Vds = 30 V, and Vgs = 30 V.

../../Resources/ieie/JSTS.2021.21.3.189/fig4.png

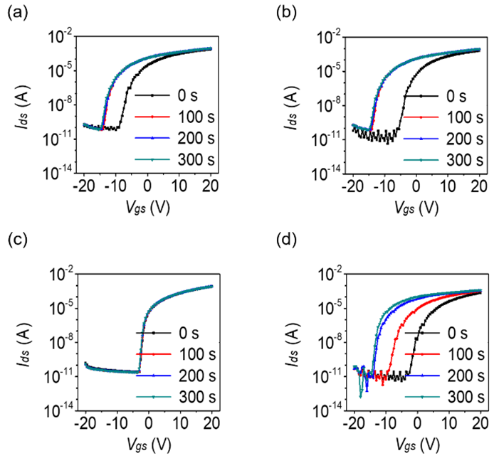
Fig. 5 shows the results of the GBS test to evaluate the applicability and reliability of fabricated a-IGZO channel layer TFTs for display devices. A negative bias voltage stress (NBS) test was conducted to evaluate the turn-off state of the a-IGZO channel layer TFTs injected with oxygen plasma surface treatment. The NBS test measured the transfer characteristic curves when −20 V was applied to Vgs for 100 s, 200 s, and 300 s. Then, Vgs was swept from −20 V to 20 V at 0.5 V increments. Analyzing the change in Ids over time when bias voltage was applied to Vgs, we found the transfer characteristic curve shifted negatively. This result is exaggerated as the time for applying negative bias voltage is extended. The results demonstrate that Ids for Vgs is constant, despite the decrease in Vth, and the slope of the transmission characteristic curve is also constant. This seems to be a phenomenon caused by the movement of the positive holes in the a-IGZO channel layer toward the gate due to the negative voltage across the gate. In the a-IGZO TFT injected with 3 sccm of oxygen, the characteristic curve strongly shifted in the negative direction after applying a negative bias voltage. For the a-IGZO TFT injected with 6 sccm of oxygen, the negative shift was attenuated, compared to TFTs under other conditions.

Fig. 5. NBS stability of TFTs with a-IGZO channel layers treated with oxygen plasma with gun-type plasma cell based on the amount of oxygen gas injected (a) as-deposited, (b) at 3 sccm, (c) at 6 sccm, (d) at 9 sccm. The stressing conditions were Vgs = −20 V.

../../Resources/ieie/JSTS.2021.21.3.189/fig5.png

Fig. 6 shows the results of AFM measurements (size: 2 μm × 2 μm) of the surface morphology of the as-deposited a-IGZO channel layer and the injected a-IGZO channel layers to analyze the effect of plasma surface treatment on the a-IGZO channel layer. Furthermore, the change in root mean square (RMS) value based on the amount of oxygen injection is shown in Fig. 6(e). As the amount of injected oxygen increased, the step difference of the surface of the a-IGZO channel layer decreased. Fig. 6(c) shows the measurement image of the a-IGZO channel layer injected with 6 sccm of oxygen, with the smallest RMS value and surface curvature.

Fig. 6. AFM images on 2 μm × 2 μm a-IGZO channel layers treated with oxygen plasma with gun-type plasma cell based on the amount of oxygen gas injected (a) as-deposited, (b) at 3 sccm, (c) at 6 sccm, (d) at 9 sccm, (e) The change in RMS value depending on the amount of oxygen gas injected.

../../Resources/ieie/JSTS.2021.21.3.189/fig6.png

However, when the a-IGZO channel layer was injected with 9 sccm of oxygen, as shown in Fig. 6(d), the step difference on the surface was reduced due to the oxygen plasma, but the RMS value increased. Larger RMS values indicate that the roughness of the surface increases. Increase in surface roughness causes trap charges that impede the movement of electrons. When trap charges occur, leakage current is induced, which is the main cause of reduced charge mobility in the transistor (39-41).

Therefore, as the amount of oxygen injected during the oxygen plasma surface treatment increases, the step difference on the surface of the a-IGZO channel layer decreases. Accordingly, the greater the amount of oxygen injected, the better the electrical performance of the transistor. However, when too much oxygen is injected, the surface roughness of the a-IGZO channel layer can be increased, causing current leakage, which will subsequently lower the charge mobility. Accordingly, the a-IGZO channel layer TFT injected with 6 sccm of oxygen performed best, indicating that the optimal amount of oxygen injection is 6 sccm.

Fig. 7(a) shows a logic circuit constructed using the a-IGZO channel layer TFT injected with 6 sccm oxygen. The circuit is composed of a power supply, an oscilloscope, and a function generator. The load resistance of the circuit was 1 МΩ, and VDD was 5 V. When input voltage (Vin) was 0 V, the gate was short-circuited so that current flowed to the output voltage (Vout), resulting in 5 V output at Vout. When Vin was 5 V, the gate was open so that current flowed to ground, resulting in 0 V at Vout. Fig. 7(b) shows the results of the dynamic test after a resistive load inverter configuration using the same a-IGZO channel layer TFT. Vin was applied in the range −5 V to 5 V with a frequency of 1 kHz, and Vout over time was measured. We determined that the gate was open, and inverting occurred properly at about 4.5 V. Based on these findings, we suggest oxygen plasma surface treatment is applicable to creating a backplane device for active driving displays in the future.

Fig. 7. Dynamic inverter test results from configuring the logic circuit for an a-IGZO channel layer TFT treated with oxygen plasma in which 6 sccm of oxygen gas was injected (a) schematic diagrams, VDD = 5 V, and Vin = −5 to 5 V, (b) when input frequency = 1 kHz, VDD = 5 V, and Vpp = 10 V.

../../Resources/ieie/JSTS.2021.21.3.189/fig7.png

IV. CONCLUSIONS

For this paper, a-IGZO TFTs were fabricated by applying plasma surface treatment on the channel layer at 3 sccm, 6 sccm, or 9 sccm of oxygen injected using the gun-type plasma cell of a gun-type plasma cell after post annealing. We then analyzed the electrical and surface performance using a semiconductor parameter analyzer and AFM to investigate the effect of plasma surface treatment on the a-IGZO channel layer TFTs based on the amount of oxygen injection. We determined that an a-IGZO channel layer TFT injected with 6 sccm of oxygen possesses an excellent charge mobility and current flashing ratio, as well as high current persistence and stability. Surface analyses confirmed that as the amount of oxygen injection increases, the step difference on the surface of the a-IGZO channel layer decreases. Electrical and surface performance analyses demonstrate that a logic circuit composed of an a-IGZO channel layer TFT injected with 6 sccm of oxygen leads to proper inversion at 4.5 V. As a result, applicability as a backplane device for active driving displays is confirmed.

This paper confirmed that the plasma surface treatment effect increases in accordance with the amount of oxygen injected. However, excessive oxygen injection interferes with the charge mobility inside the a-IGZO channel layer, resulting in current leakage. In conclusion, oxygen vacancy in the a-IGZO channel layer is controlled to an appropriate density by optimal amounts of oxygen injected during oxygen plasma surface treatment. This optimized condition was found to remove surface impurities and defects, to enhance electrical performance, to reduce surface roughness, and it ensures reliability and stability.

ACKNOWLEDGMENTS

This research was supported by the MSIT (Ministry of Science and ICT), Korea, under the Grand Information Technology Research Center support program (IITP-2021-2020-0-01462) supervised by the IITP (Institute for Information & communications Technology Planning & Evaluation), and under the framework of international cooperation program managed by the National Research Foundation of Korea (2019K1A3A1A3910299511). This research was also supported by Basic Science Research Program through the National Research Foundation of Korea (NRF) funded by the Ministry of Education (No. 2020R1A6A1A1204794511).

REFERENCES

1 
Kim Y.-H., Heo J.-S., Kim T.-H., Park S., Yoon M.-H., Kim J., Oh M. S., Yi G.-R., Noh Y.-Y., Park S. K., Sept 2012, Flexible metal-oxide devices made by room-temperature photochemical activation of sol–gel films, Nature, Vol. 489, No. 7414, pp. 128-132DOI
2 
Thomas S. R., Pattanasattayavong P., Anthopoulos T. D., Jun 2013, Solution-processable metal oxide semiconductors for thin-film transistor applications, Chem. Soc. Rev., Vol. 42, No. 16, pp. 6910-6923DOI
3 
Ye P. D., Wilk G. D., Yang B., Kwo J., Chu S. N. G., Nakahara S., Gossmann H.-J. L., Mannaerts J. P., Hong M., Ng K. K., Bude J., Jun 2003, GaAs metal–oxide–semiconductor field-effect transistor with nanometer-thin dielectric grown by atomic layer deposition, Appl. Phys. Lett., Vol. 83, No. 1, pp. 180-182DOI
4 
Wu W., Zhang L., Xu Z., Zhou L., Tao H., Zou J., Xu M., Wang L., Peng J., May 2017, A High-Reliability Gate Driver Integrated in Flexible AMOLED Display by IZO TFTs, IEEE Trans. Electron Devices, Vol. 64, No. 5, pp. 1991-1996DOI
5 
Lee H. E., Kim S., Ko J., Yeom H.-I., Byun C.-W., Lee S. H., Joe D. J., Im T.-H., Park S.-H. K., Lee K. J., Jul 2016, Skin-Like Oxide Thin-Film Transistors for Transparent Displays, Adv. Funct. Mater., Vol. 26, No. 34, pp. 6170-6178DOI
6 
Reddy Y. A. K., Shin Y. B., Kang I.-K., Lee H. C., Reddy P. S., Jun 2015, Enhanced bolometric properties of TiO2−x thin films by thermal annealing, Appl. Phys. Lett., Vol. 107, No. 2, pp. 023503-DOI
7 
Jeong J. K., Jeong J. H., Yang H. W., Park J.-S., Mo Y.-G., Kim H. D., Aug 2007, High performance thin film transistors with cosputtered amorphous indium gallium zinc oxide channel, Appl. Phys. Lett., Vol. 91, No. 11, pp. 113505DOI
8 
Ahn B. D., Shin H. S., Kim H. J., Park J.-S., Jeong J. K., Oct 2008, Comparison of the effects of Ar and H2 plasmas on the performance of homojunctioned amorphous indium gallium zinc oxide thin film transistors, Appl. Phys. Lett., Vol. 93, No. 20, pp. 203506DOI
9 
Lee J. S., Chang S., Koo S., Lee S. Y., Mar 2010, High-Performance a-IGZO TFT With ZrO2 Gate Dielectric Fabricated at Room Temperature, IEEE Electron Device Lett., Vol. 31, No. 3, pp. 225-227DOI
10 
Nezar S., Saoula N., Sali S., Faiz M., Mekki M., Laoufi N. A., Tabet N., Feb 2017, Properties of TiO2 thin films deposited by rf reactive magnetron sputtering on biased substrates, Appl. Surf. Sci., Vol. 395, pp. 172-179DOI
11 
Mativenga M., Choi M. H., Kang D. H., Jang J., May 2011, High-Performance Drain-Offset a-IGZO Thin-Film Transistors, IEEE Electron Device Lett., Vol. 32, No. 5, pp. 644-646DOI
12 
Yabuta H., Sano M., Abe K., Aiba T., Den T., Kumomi H., Nomura K., Kamiya T., Hosono H., Jul 2006, High-Mobility Thin-Film Transistor with Amorphous InGaZnO4 Channel Fabricated by Room Temperature rf-Magnetron Sputtering, Appl. Phys. Lett., Vol. 89, pp. 112123-112123DOI
13 
Troughton J. G., Downs P., Price R., Atkinson D., Dec 2017, Densification of a-IGZO with low-temperature annealing for flexible electronics applications, Appl. Phys. Lett., Vol. 110, No. 1, pp. 011903DOI
14 
Nayak P. K., Hedhili M. N., Cha D., Alshareef H. N., Apr 2012, High performance solution-deposited amorphous indium gallium zinc oxide thin film transistors by oxygen plasma treatment, Appl. Phys. Lett., Vol. 100, No. 20, pp. 202106DOI
15 
Lee M. K., Kim C., Park J. W., Kim E., Seol M., Park J., Choi Y., Park S. K., Choi K. C., Aug 2017, Electro-Thermal Annealing Method for Recovery of Cyclic Bending Stress in Flexible a-IGZO TFTs, IEEE Trans. Electron Devices, Vol. 64, No. 8, pp. 3189-3192DOI
16 
Tak Y. J., Du Ahn B., Park S. P., Kim S. J., Song A. R., Chung K.-B., Kim H. J., Feb 2016, Activation of sputter-processed indium–gallium–zinc oxide films by simultaneous ultraviolet and thermal treatments, Sci. Rep., Vol. 6, No. 1, pp. 21869DOI
17 
Jung H. Y., Kang Y., Hwang A. Y., Lee C. K., Han S., Kim D.-H., Bae J.-U., Shin W.-S., Jeong J. K., Jan 2014, Origin of the improved mobility and photo-bias stability in a double-channel metal oxide transistor, Sci. Rep., Vol. 4, No. 1, pp. 3765DOI
18 
Kang B. H., Kim W.-G., Chung J., Lee J. H., Kim H. J., 2018, Simple Hydrogen Plasma Doping Process of Amorphous Indium Gallium Zinc Oxide-Based Phototransistors for Visible Light Detection, ACS Appl. Mater. Interfaces, Vol. 10, No. 8, pp. 7223-7230DOI
19 
Chang G.-W., Chang T.-C., Jhu J.-C., Tsai T.-M., Syu Y.-E., Chang K.-C., Tai Y.-H., Jian F.-Y., Hung Y.-C., 2012, Suppress temperature instability of InGaZnO thin film transistors by N2O plasma treatment, including thermal-induced hole trapping phenomenon under gate bias stress, Appl. Phys. Lett., Vol. 100, No. 18, pp. 182103DOI
20 
Um J. K., Lee S., Jin S., Mativenga M., Oh S. Y., Lee C. H., Jang J., 2015, High-Performance Homojunction a-IGZO TFTs With Selectively Defined Low-Resistive a-IGZO Source/Drain Electrodes, IEEE Trans. Electron Devices, Vol. 62, No. 7, pp. 2212-2218DOI
21 
Um J. G., Jang J., 2018, Heavily doped n-type a-IGZO by F plasma treatment and its thermal stability up to 600 °C, Appl. Phys. Lett., Vol. 112, No. 16, pp. 162104DOI
22 
Kim Y. G., Kim T., Avis C., Lee S., Jang J., Mar 2016, Stable and High-Performance Indium Oxide Thin-Film Transistor by Ga Doping, IEEE Trans. Electron Devices, Vol. 63, No. 3, pp. 1078-1084DOI
23 
Lin C. F., Kao C. H., Lin C. Y., Liu C. S., Liu Y. W., Feb 2019, in Sci. Rep., Vol. 9, pp. 3078Google Search
24 
Knobelspies S., Takabayashi A., Daus A., Cantarella G., Münzenrieder N., Tröster G., Dec 2018, Improvement of contact resistance in flexible a-IGZO thin-film transistors by CF4/O2 plasma treatment, Solid State Electron., Vol. 150, pp. 23-27DOI
25 
Park J., Kim S., Kim C., Kim S., Song I., Yin H., Kim K.-K., Lee S., Hong K., Lee J., Jung J., Lee E., Kwon K.-W., Park Y., Jun 2008, High-performance amorphous gallium indium zinc oxide thin-film transistors through N2O plasma passivation, Appl. Phys. Lett., Vol. 93, No. 5, pp. 053505DOI
26 
Park J., Lee D., Kwon H., Yoo S., Apr 2009, Improvement of On–Off-Current Ratio in TiOx Active-Channel TFTs Using N2O Plasma Treatment, IEEE Electron Device Lett., Vol. 30, No. 4, pp. 362-364DOI
27 
de Jamblinne de Meux A., Bhoolokam A., Pourtois G., Genoe J., Heremans P., 2017, Oxygen vacancies effects in a-IGZO: Formation mechanisms, hysteresis, and negative bias stress effects, physica status solidi (a), Vol. 214, No. 6, pp. 1600889DOI
28 
Ding X., Huang F., Li S., Zhang J., Jiang X., Zhang Z., 2017, Effect of O2 plasma treatment on density-of-states in a-IGZO thin film transistors, Electronic Materials Letters, Vol. 13, No. 1, pp. 45-50DOI
29 
Kim J.-S., Joo M.-K., Piao M. X., Ahn S.-E., Choi Y.-H., Jang H.-K., Kim G.-T., 2014, Plasma treatment effect on charge carrier concentrations and surface traps in a-InGaZnO thin-film transistors, Journal of Applied Physics, Vol. 115, No. 11, pp. 114503DOI
30 
Nayak P. K., Hedhili M. N., Cha D., Alshareef H. N., 2012, High performance solution-deposited amorphous indium gallium zinc oxide thin film transistors by oxygen plasma treatment, Appl. Phys. Lett., Vol. 100, No. 20, pp. 202106DOI
31 
Kim S., Park J., Kim C., Song I., Kim S., Park S., Yin H., Lee H., Lee E., Park Y., Apr 2009, Source/Drain Formation of Self-Aligned Top-Gate Amorphous GaInZnO Thin-Film Transistors by NH3 Plasma Treatment, IEEE Electron Device Lett., Vol. 30, No. 4, pp. 374-376DOI
32 
Lee S., Bang S., Park J., Park S., Jeong W., Jeon H., Jun 2010, The effect of oxygen remote plasma treatment on ZnO TFTs fabricated by atomic layer deposition, physica status solidi., Vol. 207, No. 8, pp. 1845-1849DOI
33 
Park S. Y., Song J. H., Lee C., Son B. G., Lee C., Kim H. J., Choi R., Choi Y. J., Kim U. K., Hwang C. S., Kim H. J., Jeong J. K., Jul 2013, Improvement in Photo-Bias Stability of High-Mobility Indium Zinc Oxide Thin-Film Transistors by Oxygen High-Pressure Annealing, IEEE Electron Device Lett., Vol. 34, No. 7, pp. 894-896DOI
34 
Zheng L., Ma Q., Wang Y., Liu W., Ding S., Zhang D. W., Jun 2016, High-Performance Unannealed a-InGaZnO TFT With an Atomic-Layer-Deposited SiO2 Insulator, IEEE Electron Device Lett., Vol. 37, No. 6, pp. 743-746DOI
35 
Orikasa Y., Hayashi N., Muranaka S., Jun 2008, Effects of oxygen gas pressure on structural, electrical, and thermoelectric properties of (ZnO)3In2O3 thin films deposited by rf magnetron sputtering, J. Appl. Phys., Vol. 103, No. 11, pp. 113703DOI
36 
Martins R., Fortunato E., Nunes P., Ferreira I., Marques A., Bender M., Katsarakis N., Cimalla V., Kiriakidis G., Jul 2004, Zinc oxide as an ozone sensor, J. Appl. Phys., Vol. 96, No. 3, pp. 1398-1408DOI
37 
Um J. K., Lee S., Jin S., Mativenga M., Oh S. Y., Lee C. H., Jang J., Jul 2015, High-Performance Homojunction a-IGZO TFTs With Selectively Defined Low-Resistive a-IGZO Source/Drain Electrodes, IEEE Trans. Electron Devices, Vol. 62, No. 7, pp. 2212-2218DOI
38 
Tak Y. J., Yoon D. H., Yoon S., Choi U. H., Sabri M. M., Ahn B. D., Kim H. J., Apr 2014, Enhanced Electrical Characteristics and Stability via Simultaneous Ultraviolet and Thermal Treatment of Passivated Amorphous In–Ga–Zn–O Thin-Film Transistors, ACS Appl. Mater. Interfaces, Vol. 6, No. 9, pp. 6399-6405DOI
39 
Yao J., Xu N., Deng S., Chen J., She J., Shieh H. D., Liu P., Huang Y., Apr 2011, Electrical and Photosensitive Characteristics of a-IGZO TFTs Related to Oxygen Vacancy, IEEE Trans. Electron Devices, Vol. 58, No. 4, pp. 1121-1126DOI
40 
Itoh T., Yamauchi N., May 2007, Surface morphology characterization of pentacene thin film and its substrate with under-layers by power spectral density using fast Fourier transform algorithms, Appl. Surf. Sci., Vol. 253, No. 14, pp. 6196-6202DOI
41 
Hong S., Park S. P., Kim Y.-g., Kang B. H., Na J. W., Kim H. J., Nov 2017, Low-temperature fabrication of an HfO2 passivation layer for amorphous indium–gallium–zinc oxide thin film transistors using a solution process, Sci. Rep., Vol. 7, No. 1, pp. 16265DOI

Author

Jae-Yun Lee
../../Resources/ieie/JSTS.2021.21.3.189/au1.png

Jae-Yun Lee received the B.S and M. S. degrees at the Graduate School of the Chungbuk National University, Korea, in 2019 and 2021, respec-tively, where he is currently pursuing the Ph.D. degree at Chungbuk National University.

His current research interests include the fabrication of soluble oxide thin film transistors and next generation memory devices.

Kwan-Jun Heo
../../Resources/ieie/JSTS.2021.21.3.189/au2.png

Kwan-Jun Heo received the B.S. and M.S. degrees from the Computer Engineering, Chungbuk National University, Cheongju, Korea, in 2012 and 2014, respectively.

His current research interests include the fabrication of soluble oxide thin film transistors and next generation memory devices.

Seong-Gon Choi
../../Resources/ieie/JSTS.2021.21.3.189/au3.png

Seong-Gon Choi received the B.S. degree in electronics engineering from Kyeongbuk National University, in 1990, and the M.S. and Ph.D. degrees from the Korea Advanced Institute of Science and Technology, South Korea, in 1999 and 2004, respectively.

He is currently a Professor with the School of Electrical and Computer Engineering, Chungbuk National University.

His research interests include smart grids, the IoT, mobile communications, and high-speed network architectures and protocols.

Heung Gyoon Ryu
../../Resources/ieie/JSTS.2021.21.3.189/au4.png

Heung Gyoon Ryu was born in Seoul, Republic of Korea in 1959.

He received the B.S. and M.S. and Ph.D. degrees in electronic engi-neering from Seoul National University in 1982, 1984 and 1989.

Since 1988, he has been with Chungbuk National University, Korea, where he is currently a Professor of Department of Electrical, Electronic and Computer Engineering in Chungbuk National University.

And he worked as chief director of RICIC (research institute of computer, information communication) in Chungbuk National University from March 2002 to February 2004.

His main research interests are digital communication systems, communication circuit design, spread spectrum system and communication signal processing.

Jung-Hyuk Koh
../../Resources/ieie/JSTS.2021.21.3.189/au5.png

Jung-Hyuk Koh He received B.S degree in Electrical Engineering from Chung-ang University, Korea, and M.S in Advanced Materials Science and Engineering from KAIST, and Ph.D. in Solid State Electronics from Royal Institute of Technology (KTH), Sweden.

He is currently a professor at the Department of Electronics Engineering at Chung-ang University, Seoul, Korea.

Sung-Jin Kim
../../Resources/ieie/JSTS.2021.21.3.189/au6.png

Sung-Jin Kim received the B.S. and M.S. degrees from the Department of Electrical and Electronics Engi-neering, Kyungpook National University, Korea, in 1999 and 2001, respectively, and the Ph.D. degree from the School of Electrical and Computer Engineering, Seoul National University, Korea, in 2006.

He worked on Samsung SDI Company, Korea, from 2004 to 2007.

In 2007, he was a Post-Doctoral Research Scientist with the Department of Electrical Engineering, Columbia University, New York, where he was initially engaged in research on the application of organic thin-film transistors and new processing strategies for highly integrated organic systems.

In 2008, he joined the School of Electrical and Computer Engineering, Georgia Institute of Technology, Atlanta, GA, USA, as a Post-Doctoral Fellow working on solution-processable organic light emitting diodes.

In 2010, he was with the College of Electrical and Computer Engineering, Chungbuk National University, Cheongju, Korea, as a Professor.

His current research interests include the organic/oxide devices, flexible printing electronics, large-area light sources, and energy harvesting applications.